Тригонометриялық теңдеулер мен теңсіздіктер

БҚО, Тасқала, Ы. Алтынсарин атындағы ЖББОМ
І санатты математика пәні мұғалімі Ташенова Гульнара Узакбаевна
Сабақтың тақырыбы:
Тригонометриялық теңдеулер мен теңсіздіктер.
Сабақтың мақсаты.
1) білімділік - оқушылардың тақырып бойынша алған білімдерін тереңдетіп, жинақтау,
жүйелеу, қорытындылау.
2) дамытушылық -логикалық ойлау қабілеті мен дағдыларын жетілдіру, белсенділіктерін
арттыру. Сабаққа қызығушылықты қалыптастыру, ұзақ есте сақтау қабілеттерін
жетілдіру.
3) тәрбиелік - оқуға саналы сезімге, жауапкершілікке, шапшаңдыққа, ұқыптылыққа, өз
бетінше еңбектенуге тәрбиелеу.
Сабақтың типі : Қорытындылау сабақ
Құралдар : Интерактивтік тақта, слайдтар, плакат «Теңсіздікті шешіңіз. ».
Сабақ барысы:
1 Ұйымдастыру кезеңі.
2 Сұрақ-жауап «Формуланы білесің бе?» (ауызша) .
3 Интербелсенді тақтамен жұмыс: тригонометриялық функциялардың графиктерін
түрлендіру.
4 «Қатені тап»
5 Тригонометриялық теңдеулер шешу.
6 Тригонометриялық теңсіздіктер шешу.
7 Өздік жұмыс.
8 Оқушыларды бағалау, сабақты қорытындылау
Слайд 1-2
1 Мұғалім: Балалар, сендер «тригонометрия» ұғымымен алғаш 9-шы сыныпта танысып, оның анықтамасымен және көптеген формулаларымен таныстыңдар. Сол формулаларды есеп шығаруда, өрнектерді түрлендіруде пайдалануды үйрендіңдер. 10-шы сыныпта тригонометриялық функциялардың графиктерін салып және оларды түрлендіруді, тригонометриялық теңдеулерді және тригонометриялық теңсіздіктерді шешуге үйрендіңдер. Бүгінгі сабақта осы алған білімдерімізді жинақтап, қорытындылайық.
2 Алдымен сұрақтарға жауап беріңіз: «Формуланы білесің бе?» (ауызша) . Слайд 3-4
Дұрыс жауаптары:
3 Интербелсенді тақтамен жұмыс:
тригонометриялық функциялардың графиктерін түрлендіру. Слайд 5-6-7
1)
2) 3)
4 «Қатені тап» Слайд 8-9
1)
2)
5 Тригонометриялық теңдеулер шешу
1)
sin x =
x=(-1)
n+1
Z
2)
сos x =
x =
3)
4) cos 2x - cos 6 x = 0.
2 sin 2x * sin 4x = 0
2sin 2x = 0 немесе sin 4x = 0
2x = Пn, n
. 4х = Пn, n
.
5)
€ Z
6) 3sin 2 х+sin х*cosх =2cos 2 х (:cos 2 х)
3tg 2 х+tgх-2=0 Белгілейміз: tgх=а
D=25
а
1
=-1 а
2
=
tgх=-1
х=
€Z
tgх=-
х=
€Z
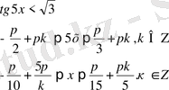
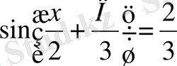
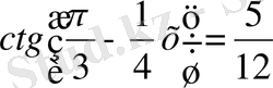
6 Тригонометриялық теңсіздіктер шешу. (плакат «Теңсіздікті шешіңіз. »)
7 Өздік жұмыс. (ppt. теңзіздіктер2) Слайд 1-2-3
Тапсырмалары:
І-нұсқа
1) 2)
ІІ-нұсқа
1) 2)
8 Үйге тапсырма беру.
Оқушыларды бағалау, сабақты қорытындылау.
- Іс жүргізу
- Автоматтандыру, Техника
- Алғашқы әскери дайындық
- Астрономия
- Ауыл шаруашылығы
- Банк ісі
- Бизнесті бағалау
- Биология
- Бухгалтерлік іс
- Валеология
- Ветеринария
- География
- Геология, Геофизика, Геодезия
- Дін
- Ет, сүт, шарап өнімдері
- Жалпы тарих
- Жер кадастрі, Жылжымайтын мүлік
- Журналистика
- Информатика
- Кеден ісі
- Маркетинг
- Математика, Геометрия
- Медицина
- Мемлекеттік басқару
- Менеджмент
- Мұнай, Газ
- Мұрағат ісі
- Мәдениеттану
- ОБЖ (Основы безопасности жизнедеятельности)
- Педагогика
- Полиграфия
- Психология
- Салық
- Саясаттану
- Сақтандыру
- Сертификаттау, стандарттау
- Социология, Демография
- Спорт
- Статистика
- Тілтану, Филология
- Тарихи тұлғалар
- Тау-кен ісі
- Транспорт
- Туризм
- Физика
- Философия
- Халықаралық қатынастар
- Химия
- Экология, Қоршаған ортаны қорғау
- Экономика
- Экономикалық география
- Электротехника
- Қазақстан тарихы
- Қаржы
- Құрылыс
- Құқық, Криминалистика
- Әдебиет
- Өнер, музыка
- Өнеркәсіп, Өндіріс
Қазақ тілінде жазылған рефераттар, курстық жұмыстар, дипломдық жұмыстар бойынша біздің қор #1 болып табылады.

Ақпарат
Қосымша
Email: info@stud.kz