Екі өрнектің қосындысының және айырымының кубы. 7 сынып

Жамбыл облысы
Қордай ауданы
Қайнар ауылы
№32 В. В. Маяковский атындағы орта мектебінің математика пәні мұғалімі Отеубаева Жанар Абдибаевна
7-алгебра
§10 Екі өрнектің қосындысының және айырымының кубы.
Математика әлемі,
Қызығы мол әдемі.
Интерактивті тақтадан,
Меңгеретін сабақты.
Сабақтың мақсаты:
Білімділік . Екі өрнектің қосындысының, айырымының кубының формуласын үйрету.
Дамытушылық. Формуланы қолданып есепті шығара білуге үйрету.
Тәрбиелік . Есепті дұрыс шығара білуге тәрбиелеу.
Жаңа білім беру сабағы .
Ұйымдастыру кезеңі . Сәлемдесу, түгелдеу.
І Өткен тақырыпты қайталау.
Үй-жұмысын тексеру.
§10 197, 198, 200
ІІ Сабақтың тақырып, мақсатын тексеру.
ІІІ Жаңа сабақ. А) теориялық бөлім
(а+в) 3 =а 3 +3а 2 в+3ав 2 +в 3 -екі өрнектің қосындысының кубының формула.
(а-в) 3 =а 3 -3а 2 в+3ав 2 -в 2
Екі өрнектің айырымының кубын табу үшін бірінші өрнектің кубынан 3 еселенген бірінші өрнектің квадраты мен екінші өрнектің көбейтіндісін азайту к/к. ж/с оған 3 есленген бірінші өрнек пен екінші өрнектің квадратын қосып, одан екінші өрнектің кубын азайту керек.
(х-2у) 3 =х 3 -6х 2 у+12ху 2 -8у 3
Тарихи мағлұмат .
Қысқаша көбейту формулалары шамамен бұдан 4 мың жыл бұрын белгілі болған. Вавилондықтар ж/е басқа да халықтар бұл формуланы ауызша ж/е геомтриялық түрде тұжырымдаған. Ежелгі грек матемтиктері барлық алгебралық тұжырымдамаларды геом/қ түрде берген. Мыс:сандарды қосудың орнына кесінді-і қосу, екі санның көбейтіндісін аудан, ал 3 санның көбейтіндісін тікбұрышты паралл-д көлемі ретінде қарастырған. «Санның квадраты» -санды өз-өзіне көбейту. «санның кубы»-геом-қ орта терминдері қолданысқа енгізілді.
«В»деңгей. Ә) практикалық бөлім
№196
1) (3m+2n) 3 =27m 3 +72m 2 n+36mn 2 +8n 3
2) (5x-3y) 3 =125x 3 -225x 2 y+135xy-27y 3
№ Бекіту
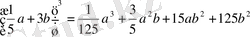
№197
1) (2+х) 3 =2 3 +3*2 2 *х+3*2*х 2 +х 3 =8+12х+6х 2 +х 3
3) (5-в) 3 =5 3 -3*5 2 *в 2 +3*5 2 *в 2 -в 3 =125-75в 2 +15в 2 -в 3
№199
1) (2m-3n) 3 =(2m) 3 -3*(2m) 2 *3n+3*2m*(3n) 2 -(3n) 3 =8m 3 -36m 2 n+54mn 2 -27n 3
3)
Математикалық диктанты
Қолымда менің бәрі бар,
Кітап, дәптер тағы бар
Алатын қане кімдер бар.
Тектен-текке бермеймін,
Білімдеріңді тергеймін.
1. (а+в) 2 =а 2 +2ав+в 2
2. (а*в) 2 =а 2 +ав+2
3. а 2 -2ав+в 2 =( )
4. а 2 +2ав+в 2 =( )
5. (а+в) 3 =а 3 +3а 2 в+3ав 2 +в 3
6. (а-в) 3 =а-3а 2 в+3ав 2 -в 3
1. Екі өрнектің айырымының кубын қалай табамыз?
2. Екі өрнектің қосындысының кубын қалай табамыз?
Ой қозғау -деңгейлік тапсырма .
Рұқсат жоқ тағы қалуға
Тырыс сен баға алуға
Деңгей тапсыр деген не тәйірі
Есепте деймін тағы да
І-нұсқа
1. (а+в) 3 =
2. екі өрнектің айырымының кубын қалай табамыз?
3. (а-2) 3 =а 3 -6а 2 +12а-8
4. (а+2х) 3 =а 3 +6а 2 х+12ах 2 +8х 3
5.
ІІ-нұсқа
1. (а-в) 3 =
2. Екі өрнектің қосындысының кубын қалай табамыз?
3. (у+3) 3 =у 3 +9у 2 +27у+27
4. (2у-3) 3 =8у 3 -36у 2 +57у-27
5.
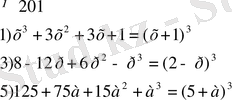
Қорыту. Үй-жұмысы . §10 №197-2, 4, 6 №198-2, 4 №200-2, 4
№197
2) (а-2) 3 =а 3 -3а 2 *2+3*а*2 2 -2 3 =а 3 -9а 2 +12а-8
4) (у+3) =у 3 +3у 2 *3+3у*3 2 +3 2 =у 3 +9у 2 +27у+27
№198
2) (2у-3) 3 =(2у) 3 -3*(2у) 2 *3+3*2у*3 2 -3 3 =8у 3 -36у 2 +54у-27
4) (3n-2m) 3 =(3n) 3 -3*(3n) 2 *2m+3*3n*(2m) 2 -(2m) 3 =27n 3 -54n 2 m+36nm 2 -8m 3
- Іс жүргізу
- Автоматтандыру, Техника
- Алғашқы әскери дайындық
- Астрономия
- Ауыл шаруашылығы
- Банк ісі
- Бизнесті бағалау
- Биология
- Бухгалтерлік іс
- Валеология
- Ветеринария
- География
- Геология, Геофизика, Геодезия
- Дін
- Ет, сүт, шарап өнімдері
- Жалпы тарих
- Жер кадастрі, Жылжымайтын мүлік
- Журналистика
- Информатика
- Кеден ісі
- Маркетинг
- Математика, Геометрия
- Медицина
- Мемлекеттік басқару
- Менеджмент
- Мұнай, Газ
- Мұрағат ісі
- Мәдениеттану
- ОБЖ (Основы безопасности жизнедеятельности)
- Педагогика
- Полиграфия
- Психология
- Салық
- Саясаттану
- Сақтандыру
- Сертификаттау, стандарттау
- Социология, Демография
- Спорт
- Статистика
- Тілтану, Филология
- Тарихи тұлғалар
- Тау-кен ісі
- Транспорт
- Туризм
- Физика
- Философия
- Халықаралық қатынастар
- Химия
- Экология, Қоршаған ортаны қорғау
- Экономика
- Экономикалық география
- Электротехника
- Қазақстан тарихы
- Қаржы
- Құрылыс
- Құқық, Криминалистика
- Әдебиет
- Өнер, музыка
- Өнеркәсіп, Өндіріс
Қазақ тілінде жазылған рефераттар, курстық жұмыстар, дипломдық жұмыстар бойынша біздің қор #1 болып табылады.

Ақпарат
Қосымша
Email: info@stud.kz