Термодинамика негіздері тақырыбына есептер шығару. 10 сынып

Пәні : Физика
Сыныбы: 10 «ә»
Уақыты: 10. 12. 14ж
Сабақтың тақырыбы: Термодинамика негіздері тақырыбына есептер шығару
Сабақтың мақсаты:
- Жылулық құбылыстар, дененің ішкі энергиясы ұғымын беру және ішкі энергияның өзгеру жағдайларын қарастыру және термодинамикалық жұмыс, термодинамиканың бірінші заңын изопроцестерде қолдану тақырыптарына есептер шығаруға үйрету
- Ішкі энергияның өзгерісін анықтауда оқушының байқағыштық, танымдық, қырағылық және есте сақтау қабілеттерін, теориялық білімі мен физикалық тілін дамыту.
- Оқушыларды алғырлыққа, зеректікке баулу және жылу алмасудың адамзат өмірінде физикалық құбылыс ретінде атқаратын ролін ашып беру.
Сабақтың типі: қайталау
Сабақтың түрі: топтық ізденіс
Сабақтың әдіс-тәсілі: топтық жұмыс, сұрақ-жауап, постер қорғау, есептер шығару
Пәнаралық байланыс: химия, география, математика, астрономия
Көрнекіліктер: слайд, суреттер, семантикалық карта, есептер, постер
Сабақтың құрылымы :
І. Ұйымдастыру бөлімі
ІІ. Постер қорғау
ІІІ. Есептер шығару
ІV. Семантикалық карта
V. Үйге тапсырма. Бағалау.
VІ. Қорытынды
І. Ұйымдастыру бөлімі
- сынып тазалығы;
- сыныпты түгендеу;
-сыныпты топқа бөлу;
- бағалау парағын үйлестіру
ІІ. Постер қорғау
1-топқа: Ішкі энергия. Ішкі энергияны өзгерту тәсілдері
2- топқа: Механикадағы және термодинамикадағы жұмыс
3- топқа: Термодинамиканың І заңын изопрцестерде қолдану
Ішкі энергия:
Ішкі энергия
-(2)
(1) -бір атомды газдың ішкі энергиясы
(2) -екі; (З) -үш Сүйтіп ішкі энергия молекулаларынң еркіндік дәрежесіне байланысты
Ішкі энергиянын өзгеру тәсілдері
А*- Сыртқы кұштің атқарған жұмысы А - газдың атқарған жұмысы
Термодинамитканың 1
-Заңы
1. М. Ломоносов үйкелісте қолдың қызатынын байқаған.
2. Б. Румфорд зембірек жасайтын заводта бұрғамен жұмыс істегенде темір қызады.
3. Дэви 1799 екі мұзды бір-біріне үйкелдіріп суға айналдырған.
4. Роберт Майер кеме дәрегері 1840ж арал Явада штормдан кейін су қызығанын байқаған.
Изохоралық процесс.
Изохоралық процесс кезінде газға берілетін энергия:
Тұрақты көлемдегі газдың меншікті жылу сыйымдылығы:
Изохоралық процесс кезіндегі берілген жылу мөлшері:
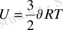
Бір атомды идеал газ үшін:
Изобаралық процесс.
Изобаралық процесс үшін термодинамиканың бірініш заңы:
Изобаралық процесс кезіндегі берілген жылу мөлшері:
Бір атомды идеал газдың меншікті жылу сыйымдылығы:
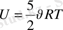
Сонда изобаралық процесс кезінде берілген жылу мөлшері:
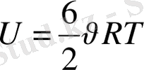
Екі атомды идеал газбен жұмыс істесек:
Изотермиялық процесс.
Изотермиялық процесс үшін термодинамиканың бірінші заңы:
Газдың осы процестегі жылу сыйымдылығы шексіздікке тең.
Идеал газдың изобаралық және изохоралық процестеріндегі меншікті жылу сыйымдылықтарының арасындағы байланыс:
-
тұрақты қысым кезіндегі мольдік жылу сыйымдылық.
-
тұрақты көлем кезіндегі мольдік жылу сыйымдылық.
-
Майер формуласы.
ІІІ. Есептер шығару
- Топқа:
№1. 127 0 С температурадағы массасы 4г гелийдің ішкі энергиясы неге тең? (М(Не) =4*10 -3 кг/моль) U=3mRT/2M= 3*4*10 -3 *8. 31*400/2*4*10 -3 =4986Дж
№2. Бір атомды идеал газдың 2 молін 50 К-ге қыздырған. Газдың ішкі энергиясының өзгерісі? (R=8, 31 Дж/моль ) U= 3*νRT/2= 3*2*8. 31*50/2=1246. 5Дж
№3. T=300 K температурадағы массалары m 1 =20г гелий мен m 2 =10г неоннан тұратын қоспаның ішкі энергиясын табыңдар U 1 = 1869. 75Дж U 2 = 18697. 5Дж U= U 1 + U 2 = 20567. 25= 2. 1*10 4 Дж
- Топқа:
№1. Циклдік процесс нәтижесінде, газ 100Дж жұмыс атқарып, тоңазытқышқа 400Дж жылу берді. Циклдің пайдалы әрекет коэффициетін анықтаңдар. ή = A/ Q= 100/400= 25 %
№2. 500 г темір кесегін -10 0 С-тан +10 0 С-қа дейін қыздыру үшін қажетті жылу мөлшері (темірдің меншікті жылу сыйымдылығы 780Дж/кг 0 С) Q= c*m (t 2 -t 1 ) = 780*0. 5*20=7800Дж
№3. t= 27 0 C температурада бір атомды идеал газдың ішкі энергиясы U=15кДж. Осы газ молінің мөлшерін анықтаңдар ν= 2*U/3RT= 2*15*10 3 /3*8. 31*300=4 моль
- Топқа:
№1. Газдың 800 молін 500 К-ге изобаралық қыздырған. Газдың жұмысын анықтаңыз? (R=8, 31 Дж/моль )
=
5*800*500*8. 31/2=831*10
4
Дж
№2. Массасы 4 кг гелийді 100 К-ге изохоралы қыздыру үшін қажетті жылу мөлшерін және газдың жұмысын анықтаңыз? ( М=4*10 -3 кг /моль) ; A=0. Q= U= 3*4*100*8. 31/2*4*10 -3 = 1246. 5кДж
№3. Баллонда T=300К температурадағы m=5кг аргон бар. Газдың ішкі энергиясы неге тең? U= 3mRT/2M=3*5*8. 31*300/2*40*10 -3 = 467кДж
ІV. Семантикалық карта
Изобар. пр
үшін термодин І заңы
Термодинамикалық
жұмыс
Менш
жылу
сыйым








- Іс жүргізу
- Автоматтандыру, Техника
- Алғашқы әскери дайындық
- Астрономия
- Ауыл шаруашылығы
- Банк ісі
- Бизнесті бағалау
- Биология
- Бухгалтерлік іс
- Валеология
- Ветеринария
- География
- Геология, Геофизика, Геодезия
- Дін
- Ет, сүт, шарап өнімдері
- Жалпы тарих
- Жер кадастрі, Жылжымайтын мүлік
- Журналистика
- Информатика
- Кеден ісі
- Маркетинг
- Математика, Геометрия
- Медицина
- Мемлекеттік басқару
- Менеджмент
- Мұнай, Газ
- Мұрағат ісі
- Мәдениеттану
- ОБЖ (Основы безопасности жизнедеятельности)
- Педагогика
- Полиграфия
- Психология
- Салық
- Саясаттану
- Сақтандыру
- Сертификаттау, стандарттау
- Социология, Демография
- Спорт
- Статистика
- Тілтану, Филология
- Тарихи тұлғалар
- Тау-кен ісі
- Транспорт
- Туризм
- Физика
- Философия
- Халықаралық қатынастар
- Химия
- Экология, Қоршаған ортаны қорғау
- Экономика
- Экономикалық география
- Электротехника
- Қазақстан тарихы
- Қаржы
- Құрылыс
- Құқық, Криминалистика
- Әдебиет
- Өнер, музыка
- Өнеркәсіп, Өндіріс
Қазақ тілінде жазылған рефераттар, курстық жұмыстар, дипломдық жұмыстар бойынша біздің қор #1 болып табылады.

Ақпарат
Қосымша
Email: info@stud.kz