Мәтінді есептерді шешу

Күні: 11. 09. 2014 ж
Сабақ жоспары:алгебра
Сыныбы: 9 «А»
Сабақтың тақырыбы: Мәтінді есептерді шешу
Сабақтың мақсаттары:
Білімділік: Мәтінді есептерді квадрат теңдеулер арқылы шешу алгоритмін қайтадан естеріне түсіру.
Дамытушылық: Теңдеулер арқылы шығарылатын кез келген мәтінді есепті шешу алгоритмін қолдана білуге дағдыландыру.
Тәрбиелік: Теңдеу арқылы шығарылатын кез келген мәтінде есепті шешуде алгоритмді басшылыққа алуды меңгерту. Міндеттері:
- мәтінді есептің берілгені бойынша квадрат теңдеуді құрудың негізгі кезеңдерін орындай білу
- есептің берілгені бойынша квадрат теңдеуді құру білу
-мәтінді есепті құрылған теңдеу бойынша шешімін табу
Қолданылатын модульдер:
1. Оқыту мен оқытудағы жаңа тәсілдер
2. Сыни тұрғыдан ойлау
3. Оқытудағы ақпаратттық-коммуникациялық технологияны пайдалану
5. Оқушылардың жас ерекшеліктеріне сәйкес оқыту және оқу
6. Оқытудағы басқару және көшбасшылық
Сабақ түрі:жеке жұмыс
Сабақ типі:теориялық және практикалық
Сабақтың әдістері: Сурақ-жауап, практикалық
Сабақтың көрнекілігі:слайд
Күтілетін нәтиже:
- мәтінді есептің берілгені бойынша квадрат теңдеуді құрудың негізгі кезеңдерін орындай біледі
- есептің берілгені бойынша квадрат теңдеу құра біледі
-мәтінді есепті құрылған теңдеу бойынша шешімін таба біледі
Сабақ жоспары :
Сабақ кезеңдері
Уақыты
Сабақтың басталуын ұйымдастыру
мин
Психологиялық көңіл-күйді реттеу. Мақсаты: жағымды эмоция орнату. Сәлеметсіздер ме құрметті оқушылар. Оқушыларды ң сабақққа қызығушылығын ояту, белсенділігін арттыру.
Бүгінгі сабақ төрінде,
Математика елінде.
Математика тілінде,
Есеп шешіп жарысып
Бір серпіліп қалайық
Оқушылар сәлемдеседі
Оқушылар тақтада орындайды
БІЛУ
Қажетті өткен тақырыпты қайталау
мин
8-сыныпта өтілген «Мәтінді есептерді квадрат теңдеулер арқылы шығару»тақырыбын еске түсіреді
Теңдеу арқылы шығарылатын кез келген мәтінде есепті шешуде алгоритмді басшылыққа алу керек.
1. Есептің мәтінінде берілген шамалардың арасындағы тәуелділікті анықтау үшін есептің шартын білу қажет
2. Бастапқы шаманы әріппен белгілеу арқылы теңдеу құру мен есеп шығаруды жеңілдетуге болады
3. Бастапқы белгісіз айнымалыны берілген және әріппен белгіленген қосымша шамалар арқылы өрнектеу
4. Теңдеу құру, яғни бір шаманы беретін екі өрнекті жазып, олардытеңестіру
5. Құрылған теңдеудің түбірлерін табу
6. Табылған теңдеулердің қайсысы теңдеуді қанағаттандыратынын тексеру
Біздің бүгінгі сабағымыздың тақырыбы: « §Мәтінді есептерді шешу »(оқушылар өздері айтады. )
Сабақтың мақсаты: оқушыларды мәтінді есептерді квадрат теңдеулер арқылы алгоритмді қолдана отырып шеше білуге дағдыландыру
Түсіну.
10 мин
8-алгебра. 68-74 бет
1-мысал пәтерде ендері бірдей екі бөлме жасау жобалануда. Бірінші бөлменің ұзындығы енінен 1, 5 есеартық, ал екінші бөлменің ұзындығы7, 2м. Егер пәтердің ауданы56, 7 болса, онда бөлмелердің енін табыңдар.
Шешуі. 1, 5 теңдеуін аламыз және теңдеуді сол жаққа жинап 2-ге көбейтеміз 3 теңдеуін шешіп, түбірлерін табамыз
х 4, 2 х -9 есептің шешімі тек 4, 2 болады өйткені бөлменің ені әрқашанда оң сан болады
Оқушылар үсінбеген сұрақтары болса қояды.
 
Қолдану
Есептер шығару
мин
 №209-1
      №209-1
     
а+в
а 2 +в 2
Шешуі:a=22-b
(22-b) +b 2 =250
484-44b+b 2 +b 2 -250=0
2b 2 -44b+234=0
b 2 -22b+117=0
D=22 2 -*117=484-468\16
 
a 1 =22-13=9
a 2= 22-9=13
жауабы: екі сан 9; 13 шешім: ең кішісі 9
Жарайсыңдар!
Смайликтермен, бесбұрышш төртбұрышш үшбұрышпен бағалау
 
 
Жарайсыңдар!
Смайликтермен, бесбұрышш төртбұрышш үшбұрышпен бағаау
Слайд, флипчарт
компьютер
Жинақтау
E-Learning. №395
 
 
Оқушы компьютердеE-Learning кітапханасынан. №395 есепті орындайды
 
Жарайсыңдар!
Смайликтермен қошеметтеу
Бағалау
Рефлексия 2 мин
Оқушылардың жауап беру бойынша білімдерін бағалау
Үйге:№209-2 №210-2 №202-2
№209-2
А-в
а 2 -в 2
Шешуі: a=4+b
(4+b) 2 -b 2 =104
16+8b+b 2 -b 2 -104=0
8b-88=0
8b=88
b=88:8=11
a=4+11=15
жауабы: ең ұлкені 15 саны
 
9 «а» сынып оқушыларының математика пәнінен бағалау парақшалары
Қорытынды баға
11. 09. 2014ж
Күні: 15. 09. 2014 ж
Сабақ жоспары:алгебра
Сыныбы: 9 «А»
- Сабақтың тақырыбы: §1. Екі айнымалысы бар сызықтық теңдеу. 1-теорема
- Сабақтың мақсаттары:
Білімділік: Екі айнымалысы бар сызықтық теңдеу мен оны шешу жолдарын үйрету.
Дамытушылық: Мәндес теңдеулердің қасиеттерін пайдаланып есептерді орындай білуге дағдыландыру.
Тәрбиелік: Екі айнымалысы бар сызықтық теңдеулердің графиктерін салу бойынша білімдерін жетілдіру. Оқушыларды дәлдікке, ұқыптылыққа, жылдамдылыққа, ептілікке тәрбиелеу.
Міндеттері:
- Екі айнымалысы бар сызықтық теңдеуді шешімін табуды үйрену
- Екі айнымалысы бар сызықтық теңдеудің кез келген шешімін табу
Қолданылатын модульдер:
1. Оқыту мен оқытудағы жаңа тәсілдер
2. Сыни тұрғыдан ойлау
3. Оқытудағы ақпаратттық-коммуникациялық технологияны пайдалану
5. Оқушылардың жас ерекшеліктеріне сәйкес оқыту және оқу
6. Оқытудағы басқару және көшбасшылық
Сабақ түрі:топтық және жұптық жұмыс
Сабақ типі:жаңа сабақ, теориялық және практикалық
Сабақтың әдістері: Сурақ-жауап, топтық, дедукция әдісі, бинарлық әдістер, і Сын тұрғысынан ойлау, проблемалық, көрнекіліктер, ұжымдық т. б
Сабақтың көрнекілігі:слайд, батман, стикерлер, флипчарт құралдары
Күтілетін нәтиже:
- Екі айнымалысы бар сызықтық емес теңдеуді ажырата біледі
- Екі айнымалысы бар сызықтық емес теңдеудің дәрежесін анықтай біледі
-Теңдеудің графигін сала біледі
Сабақ жоспары :
Сабақ кезеңдері
Уақыты
Сабақтың басталуын ұйымдастыру
мин
Психологиялық көңіл-күйді реттеу. Мақсаты: жағымды эмоция орнату.
Сәлеметсіздер ме оқушылар . Оқушылардың сабақққа қызығушылығын ояту, белсенділігін арттыру.
Топқа бөлу:1, 2, 3, 4, 5-ке дейін сыныптағы оқушылар түгел санап шығады да, 1-лер «Бесік», 2-лер «Елім», 3-тер «Үміт» топтарына бірыңғай топтасады. «Бесік» тобына 1-теорема, «Елім» тобына 1-салдар, « Үміт» тобына 2-салдар бойынша мыcалдар келтіріп постер қорғау
       Бір дегенім -бесік,
       
      Шықтық содан өсіп.
      
      Екі дегенім -Елім,
      
      Далам тауым, көгім.
      
      Үш дегенім-Үміт,
      
      Үміт артар жігіт.
     
Оқушылар сәлемдеседі
Жауап берулеріне сәйкес бесбұрыш, төртбұрыш, үшбұрыштармен бағалауды түсіндіру.
БІЛУ
Теориялық білім
«Бесік» тобына 1-теорема:
Бір айнымалысы бар сызықтық теңдеудің aх=b (мұндағы а және в -нақты сандар, х-айнымалы) түрінде берілетінін төменгі сыныптан білеміз.
aх+by=c түрінде берілген теңдеу екі айнымалысы бар сызықтық теңдеу д. а.
x, y - айнымалылар, a, b, c - нақты сандар және a мен bбір мезгілде нөлге тең емес.
- Мәндес теңдеулер
- Мәндес теңдеулердің қасиеттері
- Теңдеудің графигі
Екі айнымалысы бар сызықтық теңдеуді шешу - берілген теңдеуді дұрыс теңдікке айналдыратын сандар жұбының жиынын табу.
aх+by=c теңдеуді қанағаттандыратын кез келген сандар жұбы екі айнымалысы бар сызықтық теңдеудің шешімі д. а
1-теорема . Егер теңдеудің екі жақ бөлігіне бірдей санды немесе айнымалылардың барлық мәндерінде мағынасы болатын өрнекті қоссақ, онда берілген теңдеуге мәндес теңдеу шығады.
1-салдар. «Елім» тобына 2-салдар, мысал келтіру
Егер теңдеудің екі жақ бөлігінде де бірдей сандар бар болса, онда оларды ескермеуге болады (ондай сандар өзара жойылып кетеді дейміз)
2-салдар. «Төзім» тобына 2-салдар, мысал келтіру:
Теңдеудің кез келген қосылғышын оның бір жақ бөлігінен екінші жағына қарама-қарсы таңбамен көшіруге болады.
Біздің бүгінгі сабағымыздың тақырыбы: « §2. Екі айнымалысы бар сызықтық емес теңдеу »(оқушылар өздері айтады.
Сабақтың мақсаты: оқушыларды екі айнымалысы бар сызықтық емес теңдеуді шешу жолдарына және графиктерін салуға білуге дағдыландыру
Үй тапсырмасына берілген тапсырманы айтады. Топтағы оқушылар бір-бірінің дәптерлеріндегі үй жұмысын тексеріп бір-бірлеріне баға қояды . мәтін есептерін шешу. №209-2 №210-2 №202-2
№209-2
а-в
а 2 -в 2
Шешуі: a=4+b
(4+b) 2 -b 2 =104
16+8b+b 2 -b 2 -104=0
8b-88=0
8b=88
b=88:8=11
a=4+11=15
жауабы: ең ұлкені 15 саны
 Оқушылар мұғалімнің қойылған сұрақтарына жауап беріп сабақ тақырыбын, мақсатын ашады.
      Оқушылар мұғалімнің қойылған сұрақтарына жауап беріп сабақ тақырыбын, мақсатын ашады.
     
Түсіну.
Практикалық бөлім
Мысалы. 2х+у=6 теңдеуінің графигін салу
 
 
Қолдану
Есептер шығару
мин
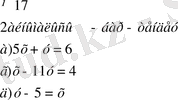
Ауызша орындалатын тапсырмалар: №17
 
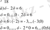
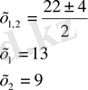
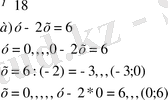
«Бесік» тобына №18-а, «Елім» тобына №18-ә, «Төзім» тобына №19-а есептерді орындау беріледі
 
 
 
Бесік» тобына №18-а, «Елім» тобына №18-ә, «Төзім» тобына №19-а есептерді орындау беріледі
 
 
 
Топ басшылары оқушылар жауаптарын бағалау парақшаларына белгілеп отырады
Actibstudio құралдарын пайдалану арқылы орындайды
Жарайсыңдар!
Смайликтермен қошеметтеу
Жинақтау
А) Оқушылар бір -біріне сұрақ береді.
Ә) менің қоятын сұрақтарым:
Е-кітапханадан №970 есепті орындау. . №970 есептің 1-есебінің 5 пункті, 2-есебінің 1 мен 2 пункті дұрыс, 3-есептің 1-пункті дұрыс.
А) Оқушылар бір -біріне сұрақ береді.
Ә) менің қоятын сұрақтарым:
1. Екі айнымалысы бар сызықтық теңдеудің бір айнымалысы бар сызықтық теңдеуден қандай айырмашылығы бар?
2. Қандай жағдайда берілген теңдеуге мәндес теңдеу алуға болады?
Екі айнымалысы бар теңдеу қалай шешіледі?
Жарайсыңдар!
Смайликтермен қошеметтеу
Бағалау
Рефлексия 2 мин
Топ басшыларындағы бағалау парақшаларын жинап алу арқылы оқушылардың білімін жүйелеп бағалау. Үйге : §1. Екі айнымалысы бар сызықтық теңдеу, №18-б, в; №19-б, в ; №21б
 
 
 
 
9 «а» сынып оқушыларының математика пәнінен бағалау парақшалары
Қорытынды баға
15. 09. 2014ж
Күні: 18. 09. 2014 ж
Сабақ жоспары:алгебра
Сыныбы: 9 «А»
- Сабақтың тақырыбы: §1. Екі айнымалысы бар сызықтық теңдеу. 2-теорема
- Сабақтың мақсаттары:
- Білімділік. Берілген тақырыпты толық меңгеруге мүмкіндік жасау; Екі айнымалысы бар сызықтық тендеулердің графигін салудың негізгі тәсілдерімен таныстыру, графигін салу дағдысын қалыптастыру;
- Дамытушылық. Пәнге деген қызғушылығын арттыру және ой өрісін дамыту дамыту
- Тәрбиелік. Ұқыптылыққа тәрбиелеу
Міндеттері:
- Екі айнымалысы бар сызықтық теңдеуді шешімін табуды үйрену
- Екі айнымалысы бар сызықтық кез келген шешімін табу
-Екі айнымалысы бар сызықтық теңдеудің графигін салуды үйрену
Қолданылатын модульдер:
1. Оқыту мен оқытудағы жаңа тәсілдер
2. Сыни тұрғыдан ойлау
3. Оқытудағы ақпаратттық-коммуникациялық технологияны пайдалану
5. Оқушылардың жас ерекшеліктеріне сәйкес оқыту және оқу
6. Оқытудағы басқару және көшбасшылық
Сабақ түрі:топтық және жұптық жұмыс
Сабақ типі:жаңа сабақ, теориялық және практикалық
- Сабақтың әдістері: Сурақ-жауап, топтық, дедукция әдісі, бинарлық әдістер, СТО стратегиялары. Топтастыру стратегиясы, проблемалық, көрнекіліктер, ұжымдық т. б
Сабақтың көрнекілігі:слайд, батман, стикерлер, флипчарт құралдары
Күтілетін нәтиже:
- Екі айнымалысы бар сызықтық емес теңдеуді ажырата біледі
- Екі айнымалысы бар сызықтық емес теңдеудің дәрежесін анықтай біледі
-Теңдеудің графигін сала біледі
Сабақ жоспары :
- Іс жүргізу
- Автоматтандыру, Техника
- Алғашқы әскери дайындық
- Астрономия
- Ауыл шаруашылығы
- Банк ісі
- Бизнесті бағалау
- Биология
- Бухгалтерлік іс
- Валеология
- Ветеринария
- География
- Геология, Геофизика, Геодезия
- Дін
- Ет, сүт, шарап өнімдері
- Жалпы тарих
- Жер кадастрі, Жылжымайтын мүлік
- Журналистика
- Информатика
- Кеден ісі
- Маркетинг
- Математика, Геометрия
- Медицина
- Мемлекеттік басқару
- Менеджмент
- Мұнай, Газ
- Мұрағат ісі
- Мәдениеттану
- ОБЖ (Основы безопасности жизнедеятельности)
- Педагогика
- Полиграфия
- Психология
- Салық
- Саясаттану
- Сақтандыру
- Сертификаттау, стандарттау
- Социология, Демография
- Спорт
- Статистика
- Тілтану, Филология
- Тарихи тұлғалар
- Тау-кен ісі
- Транспорт
- Туризм
- Физика
- Философия
- Халықаралық қатынастар
- Химия
- Экология, Қоршаған ортаны қорғау
- Экономика
- Экономикалық география
- Электротехника
- Қазақстан тарихы
- Қаржы
- Құрылыс
- Құқық, Криминалистика
- Әдебиет
- Өнер, музыка
- Өнеркәсіп, Өндіріс
Қазақ тілінде жазылған рефераттар, курстық жұмыстар, дипломдық жұмыстар бойынша біздің қор #1 болып табылады.
 
            
                Ақпарат
Қосымша
Email: info@stud.kz