Функцияларды пайдалану: аргументтер, автоқосынды

Тақырып: Функцияларды пайдалану: аргументтер, автоқосынды.
Мақсаты: - кестеге мәліметтер жазу және оларды өңдеу.
- адрестерді дұрыс көрсетуді үйрену
- Excel программасында қолданылатын функциялармен танысу.
- Сандар форматымен танысу.
Барысы: 1. Ұйымдастыру
2. Оқушыларды белгілеу.
3. Жаңа тақырып түсіндіру.
4. Бекіту
Жаңа тақырып:
Excel программасында математикалық, финанстық, статистикалық және логикалық функциялардың ауқымды жиыны өндірілген. Егер кестеге бірнеше сандар енгізілген болса, Excel программасы оларды қарапайым арифметикалық ортасын табудан бастап, күрделі тригонометриялық есептеулерді жасауға дейін 300-ден аса тәсілмен өңдей алады. Excel функциялары - программа жадында сақталып тұрған арнайы формулалар болып табылады. Әрбір функция оның аты мен аргументі арқылы өрнектеледі. Аргументтер дегеніміз - нәтиже алу үшін қолданылатын мәліметтер. Функция аргументі сілтемелер немесе атау, мәтін немесе сан, уақыт немесе мерзім бола алады. Аргументтер функция атының оң жағында жай жақшаның ішінде жазылады. Егер функция аргументі болмаса, онда атынан кейін бос жай жақша () - бос орынсыз (пробелсіз) жазылады. Жай жақша ішіндегі аргементттер бір бірінен (; ) немесе (, ) арқылы ажыратылады.
Формула - ұяшықтарда есептеу жұмыстарын жүргізу кезінде қолданылады.
Жаттығу
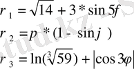
Вектор-радиусы φ бұрышқа бұрылады, вектор-радиусы ұзындығы ρ. φ бұрыш 0-ден 2π −ға дейін 0, 2 қадаммен өзгергендегі ρ− ның ұзындығын есепте, φ− ға тәуелді төрдегі формуласы. :
Егер
- А1, B1, D1 ұяшықтарына f, r1, r2, r3 енгіз, 12 өлшем, қарайтылған және шрифт Symbol таңда. Бүдан соң сіз φ және ρ грек символдарын аласыздар. А2 ұяшыққа φ - бұрышының алғашқы мөнін, яғни 0-ді енгіз.
- B2 -ші ұяшыққа ρ1 -дің формуласын енгіз.
, ол үшін, курсорды B2 -ші ұяшыққа орналастырып,
Вставка-Функция
командасын таңдап, функция шеберін шақырамыз. Категория қатарынан
Математические
-
КОРЕНЬ
командасын таңдап,
ОК
батырмасын шертеміз.
2-ші қадамда түбірге алынатын санды, яғни 14 санын "Число" қатарына енгіземіз.
ОК
батырмасын шертеміз.
Функция формулаға орналасады. Енді формуланың қалған бөлігін орындаймыз. Формула қатарын екпінді етеміз. Түбір формуласынан кейін +3* теріп жазамыз. Формулаға синус қою үшін иконын шертеміз. Категория қатарынан
Математические
-
SIN
функциясын таңдаймыз.
ОК
батырмасын шертеміз.
Пайда болған сұхбат терезесіне синус аргументін енгіз. Ол "Число" қатарына 5* теріп жазамыз және φ бұрышының мәні жазылған ұяшық адресін қоямыз. ОК батырмасын шертеміз.
Формула мына суреттегідей түрге келеді.
- С2 ұяшыққа ρ2 формуласын енгіземіз.
С2 ұяшыққа курсорды орнастыр.
= белгісін қой. ПИ мәнін қою үшін
мастер функций
батырмасын шертеміз. Категория қатарынан
Математические
-
ПИ()
функциясын таңдаймыз.
ОК
батырмасын шертеміз.
2-ші қадамда функция аргументін енгіземіз. ПИ функциясының аргументі жоқ. ОК батырмасын шертеміз.
Формула қатарын екпінді етіп курсорды енгізіп ПИ функциясынан кейінгіні *(1-sin(A2) ) теріп жазып және ENTER пернесін басамыз.
- D2 ұяшыққаформуласын енгіз.
D2 ұяшыққа курсорды орналастыр
= белгісін қой.
Мастер функций батырмасын шертіп және LN таңдап, ОК батырмасын шертеміз.
Аргумент есебінде үш дәрежелі түбірді "Число" қатарына теріп жазамыз.
ОК
батырмасын шертеміз.
Бұдан сол формула қатарын екпінді етіп,
мастер функций
батырмасын шертеміз. Категория қатарынан
Математические
-
ABS
функциясын таңдаймыз.
ОК
батырмасын шертеміз.
2-інші қадамда модульдің аргументін "Число" қатарына теріп жазамыз.
ОК батырмасын шертеміз.
Функция формулаға қойылды, енгізу үшін ENTER пернесін басамыз.
- ϕ бұрыш тұрған бағанды 0, 2 қадаммен 0 - ден 2π - ға (6, 28) дейін өзгеру мәнімен толтыр. А2 ұяшыққа 0; А3 ұяшыққа 0, 2 мәндерін жазып қалғанын маркермен толтырамыз.
- Енді ϕ бұрыш қатарын толтыру үшін ρ1, ρ2, ρ3 формуласының мәнін есептейміз. B2:D2 ұяшықтарын маркер көмегімен 34 қатарға дейін толтыра аламыз.
- Бұл мәндерден(ρ радиус-вектроының үзындығы ϕ бұрышқа тәуелді ) көп ештенге көрмейміз. Енді осының қозғалыс траекториясын көретін болсақ.
- Іс жүргізу
- Автоматтандыру, Техника
- Алғашқы әскери дайындық
- Астрономия
- Ауыл шаруашылығы
- Банк ісі
- Бизнесті бағалау
- Биология
- Бухгалтерлік іс
- Валеология
- Ветеринария
- География
- Геология, Геофизика, Геодезия
- Дін
- Ет, сүт, шарап өнімдері
- Жалпы тарих
- Жер кадастрі, Жылжымайтын мүлік
- Журналистика
- Информатика
- Кеден ісі
- Маркетинг
- Математика, Геометрия
- Медицина
- Мемлекеттік басқару
- Менеджмент
- Мұнай, Газ
- Мұрағат ісі
- Мәдениеттану
- ОБЖ (Основы безопасности жизнедеятельности)
- Педагогика
- Полиграфия
- Психология
- Салық
- Саясаттану
- Сақтандыру
- Сертификаттау, стандарттау
- Социология, Демография
- Спорт
- Статистика
- Тілтану, Филология
- Тарихи тұлғалар
- Тау-кен ісі
- Транспорт
- Туризм
- Физика
- Философия
- Халықаралық қатынастар
- Химия
- Экология, Қоршаған ортаны қорғау
- Экономика
- Экономикалық география
- Электротехника
- Қазақстан тарихы
- Қаржы
- Құрылыс
- Құқық, Криминалистика
- Әдебиет
- Өнер, музыка
- Өнеркәсіп, Өндіріс
Қазақ тілінде жазылған рефераттар, курстық жұмыстар, дипломдық жұмыстар бойынша біздің қор #1 болып табылады.

Ақпарат
Қосымша
Email: info@stud.kz