N-ші дәрежелі түбір. 11 сынып

Жоғарғы санатты математика пәнінің мұғалімі: Сражиева Кульзахира Сейтхадировна Тараз қаласы №39 мектеп гимназиясы
11 сынып. Алгебра және анализ бастамалары Сабақтың тақырыбы: n-ші дәрежелі түбірге амалдар қолдану. Сабақтың мақсаты : Білімділік: Нақты сандардан алынған түбірлер мен оның қасиеттері туралы білімдерін тереңдету. Осы қасиеттерді есеп шығаруда қолдануды үйрену.
Дамытушылық : Ойлау және есте сақтау қабілетін арттыру, шығармашылық ізденісін дамыту.
Тәрбиелік: Оқушының пәнге деген қызығушылығын арттырып, сабаққа өз еркімен белсене араласуы, білімдерін көрсете алуына ықпал ету, өзін-өзі басқарып білімін тиянақтай білуге тәрбиелеу.
Сабақтың типі: Пысықтау сабағы.
Сабақтың түрі: Аралас сабақ.
Сабақтың әдісі: Деңгейлік тапсырмалар, сұрақ-жауап, жұппен жұмыс, топпен жұмыс әдістері.
Сабақтың көрнекілігі: Ақпараттық құралдар, үлестірмелі қағаздар, бағалау парағы.
Пәнаралық байланыс география, экономика
Сабақтың барысы:
1. Ұйымдастыру бөлімі-2мин
2. Үй тапсырмасын тексеру-5мин
3. Теориялық бөлім. Қайталау сұрақтары-5мин
4. Практикалық бөлім. Математикалық эстафета. (Сынып оқушылары 3 топқа бөлініп, өзара сайысады. ) -25мин
5. Сабақты бекіту-5мин
6. Үйге тапсырма-1мин
7. Оқушыларды бағалау-2мин
І. Ұйымдастыру
Сабаққа әзірлікті бақылау;
Сабақтың мақсатымен таныстыру. Сабақтың әр кезеңінде топ жетекшісінің көмегі арқылы оқушылардың жауабын есепке алып отыру. Бағалау парағын пайдалану.
Қайталау сұрақтары:
- n-ші дәрежелі түбірдің n дәрежесі
- Көбейтіндіден түбір шығару
- Түбірді дәрежеге шығару
- Бөлшектен түбір шығаруabn=anbn, b>0\sqrt[n] {\frac{a}{b}} = \frac{\sqrt[n] {a}}{\sqrt[n] {b}}, b > 0\ \ \
- Түбірден түбір алу ережесі
- Түбір және түбірдің астындағы сандардың дәреже көрсеткіштерін
қысқарту
Астана қаласының жер көлемін есептеңдер:
Жауабы:710
Тараз қаласының жер көлемін есептеңдер:
Жауабы:139
Асыл арман компаниясы өзінің өнімдерін мың теңгеден, ал Арай компаниясы өз өнімдерін мың теңгеден сату үшін жарнама жүргізді
Қай компнияның өнімдері арзан
1-тапсырма Өрнектің мәнін табыңдар:3-ұпай
1-топ.
![]()
![]()
2-топ.
![]()
![]()
3-топ.
![]()
![]()
2-тапсырма. Сандарды өсу ретімен орналастырыңдар:5-ұпай
1-топ.
![]()
![]()
2-топ.
![]()
![]()
3-топ.
![]()
![]()
3-тапсырма.
оң сандары берілген. Келесі амалды орындаңдар:8ұпай
1-топ.
![]()
![]()
2-топ.
![]()
![]()
3-топ.
![]()
![]()
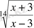
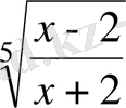
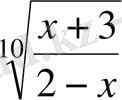
4-тапсырма. Өрнектің анықталу облысын табыңдар:10 ұпай
1-топ.
![]()
![]()
2-топ.
![]()
![]()
3-топ.
![]()
![]()
5-тапсырма. Өрнекті ықшамда: 12ұпай 1-топ.
2-топ.
3-топ.
6-тапсырма. Теңдікті дәлелде: 15ұпай 1-топ
2-топ
3-топ
ІҮ. Сабақты бекіту. Блиц турнир .
Ү. Үйге тапсырма:
ҮІ. Оқушыларды бағалау
Блиц турнир «Бәйтерек»
- Іс жүргізу
- Автоматтандыру, Техника
- Алғашқы әскери дайындық
- Астрономия
- Ауыл шаруашылығы
- Банк ісі
- Бизнесті бағалау
- Биология
- Бухгалтерлік іс
- Валеология
- Ветеринария
- География
- Геология, Геофизика, Геодезия
- Дін
- Ет, сүт, шарап өнімдері
- Жалпы тарих
- Жер кадастрі, Жылжымайтын мүлік
- Журналистика
- Информатика
- Кеден ісі
- Маркетинг
- Математика, Геометрия
- Медицина
- Мемлекеттік басқару
- Менеджмент
- Мұнай, Газ
- Мұрағат ісі
- Мәдениеттану
- ОБЖ (Основы безопасности жизнедеятельности)
- Педагогика
- Полиграфия
- Психология
- Салық
- Саясаттану
- Сақтандыру
- Сертификаттау, стандарттау
- Социология, Демография
- Спорт
- Статистика
- Тілтану, Филология
- Тарихи тұлғалар
- Тау-кен ісі
- Транспорт
- Туризм
- Физика
- Философия
- Халықаралық қатынастар
- Химия
- Экология, Қоршаған ортаны қорғау
- Экономика
- Экономикалық география
- Электротехника
- Қазақстан тарихы
- Қаржы
- Құрылыс
- Құқық, Криминалистика
- Әдебиет
- Өнер, музыка
- Өнеркәсіп, Өндіріс
Қазақ тілінде жазылған рефераттар, курстық жұмыстар, дипломдық жұмыстар бойынша біздің қор #1 болып табылады.

Ақпарат
Қосымша
Email: info@stud.kz