Квадрат теңдеу тарауын қайталау

Күні: 28. 01. 2015 Тексерілді:
Сынып: 8 «Б» Директордың ОІ орынбасары
Сабақтың тақырыбы : Квадрат теңдеу тарауын қайталау
Сабақтың мақсаты:
Білімділік : Оқушыларға тарау бойынша алған білімдерін тереңдетіп, жинақтау, жүйелеу;
Дамытушылық : Логикалық ойлау қабілеті мен дағдыларын жетілдіру, белсенділіктерін арттыру. Сабаққа қызығушылықты қалыптастыру, шапшаң, жылдам есептеуге дағдыландыру;
Тәбиелік : Оқуға, саналы сезімге, жауапкершілікке, өз бетінше еңбектенуге тәрбиелеу.
Сабақтың көрнекілігі: оқулық, үлестірме карточкалар, деңгейлік тапсырмалар, тест, бағалау парағы
Сабақтың түрі: бекіту сабағы.
Сабақтың әдісі: практикалық, деңгейлеп оқыту технологиясы.
Сабақтың барысы:
Ұйымдастыру бөлімі:
- Оқушылармен сәлемдесу
- Сыныпты түгендеу
- Сыныптың сабаққа дайындығын тексеру
Өткен тақырыпты қайталау:
1. Квадрат теңдеу дегеніміз не?
2. Толымсыз квадрат теңдеу деген не?
3. Квадрат теңдеулерді қалай есептейміз?
Есептер шығару кезеңі:
а) Тақтамен жұмыс (оқулықпен жұмыс)
ә) деңгейлік тапсырмалар(карточка)
б) Тест жұмысы
Оқулықпен жұмыс
№184 (1 - 4) №185 (1 - 4)
Әр оқушыға деңгейлік тапсырма ( карточка ) беріледі.
Карточкамен жұмыс
Математикалық диктант
1.
түріндегі теңдеу деп аталады.
2. Егер квадрат теңдеудің b немесе c, b және c нөлге тең болса, ондай теңдеу деп аталады.
3.
түріндегі теңдеу деп аталады.
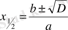
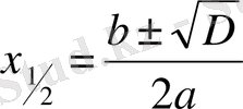
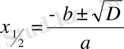
4.
түріндегі формула деп аталады.
Тест жұмысы
1-нұсқа
1. Квадрат теңдеуді көрсет:
А.
В.
С.
Д.
2. Толымсыз квадрат теңдеуді көрсет:
А.
В.
С.
Д.
3. Дискриминантты анықтайтын формула:
А.
В.
С.
Д.
4. Теңдеуді шеш:
А. 3; 14 В. 12; 5 С. 10; 7 Д. 13; 4
5. Мына теңдеулердің қайсысының шешімі (2; 7) болады?
А.
В.
С.
Д
.
2-нұсқа
1. Квадрат теңдеуді көрсет:
А.
В.
С.
Д.
2. Толымсыз квадрат теңдеуді көрсет:
А.
В.
С.
Д.
3. Теңдеудің түбірін анықтайтын формула:
А.
В.
С.
Д.
4. Теңдеуді шеш:
А. 19; 1 В. 13; 6 С. 11; 8 Д. 12; 7
5. Мына теңдеулердің қайсысының шешімі (3; 5) болады?
А.
В.
С.
Д.
Қорытындылау
Үйге тапсырма: №703
Бағалау
- Іс жүргізу
- Автоматтандыру, Техника
- Алғашқы әскери дайындық
- Астрономия
- Ауыл шаруашылығы
- Банк ісі
- Бизнесті бағалау
- Биология
- Бухгалтерлік іс
- Валеология
- Ветеринария
- География
- Геология, Геофизика, Геодезия
- Дін
- Ет, сүт, шарап өнімдері
- Жалпы тарих
- Жер кадастрі, Жылжымайтын мүлік
- Журналистика
- Информатика
- Кеден ісі
- Маркетинг
- Математика, Геометрия
- Медицина
- Мемлекеттік басқару
- Менеджмент
- Мұнай, Газ
- Мұрағат ісі
- Мәдениеттану
- ОБЖ (Основы безопасности жизнедеятельности)
- Педагогика
- Полиграфия
- Психология
- Салық
- Саясаттану
- Сақтандыру
- Сертификаттау, стандарттау
- Социология, Демография
- Спорт
- Статистика
- Тілтану, Филология
- Тарихи тұлғалар
- Тау-кен ісі
- Транспорт
- Туризм
- Физика
- Философия
- Халықаралық қатынастар
- Химия
- Экология, Қоршаған ортаны қорғау
- Экономика
- Экономикалық география
- Электротехника
- Қазақстан тарихы
- Қаржы
- Құрылыс
- Құқық, Криминалистика
- Әдебиет
- Өнер, музыка
- Өнеркәсіп, Өндіріс
Қазақ тілінде жазылған рефераттар, курстық жұмыстар, дипломдық жұмыстар бойынша біздің қор #1 болып табылады.

Ақпарат
Қосымша
Email: info@stud.kz