Натурал көрсеткішті дәреже және оның қасиеттері

Сабақтың тақырыбы: Натурал көрсеткішті дәреже және оның қасиеттері
Сабақтың мақсаты:
Білімділік мақсаты: Оқушылардың натурал көрсеткішті дәреже тақырыбы бойынша қызметін ұйымдастыру, берілген сандарды дәреже түрінде көрсету, дәрежелерді есептер шығаруда орынды пайдалану.
Дамытушылық мақсаты: Оқушылардың есептеу дағдыларын жетілдіру, өз жетістігін бағалай білуге, ойлау қабілетінің дамуына ықпал жасау.
Тәрбиелік мақсаты: Оқушылардың танымдық қызығушылығын туғызу. Топпен жұмыста достық қатынасты қалыптастыру. Ұқыптылыққа, жауапкершілікке тәрбиелеу. Ізденгіш жеке тұлға қалыптастыру.
Тілдік мақсаттар: Оқушылар орындай алады: Дәрежелерді пайдалану және оларды қалай пайдаланғанын түсіну және ауызша түсіндіре білу.
Арнайы лексика және терминалогия: Дәреже, негізі, көрсеткіш, теріс коэффициент,
негіздері бірдей дәрежелерді көбейту және бөлу.
Сабақтың түрі : Дамыту сабағы
Сабақтың әдістері: сұрақ-жауап, түсіндіру, көрнекіліктермен жұмыс, практикалық
жұмыс, Блум таксономиясы
Сабақтың көрнекіліктері: Интерактивті тақта, слайдтар, үлестірмелер
Сабақтың пәнаралық байланысы: Геометрия, информатика, физика, химия.
Сабақтың барысы:
І. Ұйымдастыру кезеңі: (оқушылардың сабаққа дайындығын қадағалау)
ІІ. Үй жұмысын тексеру : (ауызша 4-5 оқушыны тексеру)
ІІІ. Жаңа сабақты түсіндіру
Білімнің өзектілігі . Бүгінгі сабақта келесі ережелер бойынша жұмыс атқарамыз . (слайд1)
- Білгенімізді - қайталаймыз.
- Жаңа мағлұмат аламыз.
- Есептер шығарамыз.
- Топтық жұмыс
- Өзіндік жұмыс
- Өз ойларыңды айту
Жаңа тақырыпты мына мысал арқылы түсіндіру: (слайд2)
- 5+5+5+5=54=20мұнда қосу амалының көбейту амалымен ауыстырылғанын, яғни
бірнеше бірдей қосылғыштардың қосындысын бір қосылғыш санына көбейтумен алмастыруға болатынын көрсету.
- Енді дәл осылай бірнеше бірдей көбейткіштердің көбейтіндісін мысалы, =16,
қысқаша 2
2
2
2 =2 4 дәреже түрінде жазуға болады.
Бұдан бірдей көрсеткіштерден тұратын көбейтіндінің дәреже деп аталатындығы келіп шығады. Келтірілген мысалда 2 саны негізі, ал 4 саны дәреженің көрсеткіші делінеді, 16 саны 2 4 дәреженің мәні делінеді. Біз оны а n өрнегі түрінде жазып, а ( қайталанатын көбейткіш ) дәреженің негізі, ал n ( көбейткіштің неше рет қайталанатынын көрсететін сан) - дәреженің көрсеткіші деп аталатынын түсіндіру.
Анықтама. а санының 1-ден үлкен n натурал көрсеткішті дәрежесі деп әрбір
негізі а-ға тең көбейткіштен тұратын көбейтіндіні айтады.
Санның екінші және үшінші дәрежесі туралы түсінік беру, яғни екінші дәреже «квадрат», үшінші дәреже «куб» деп аталатындығын түсіндіру.
Сондай ақ:
- а1=а, яғни кез келген санның бірінші дәрежесі өзіне тең,
- а0=1, яғни кез келген санның нөл дәрежесі 1-ге тең екендігін түсіндіру.
Санды дәреже түрінде жазу ыңғайлы болғандықтан оны барлық салада қолданады. Мысалы, оны натурал сандарды разрядтық қосылғыштардың қосындысы түрінде жазу үшін пайдаланады.
Өте үлкен сандарды жазған кезде 10 санының дәрежесі қолданылады.
Мысалы;
6248618 =6, 248618
10 6 ; 1756=1, 756
10 3 ; 593264=5, 93264
10 5
1≤ a˂10, n натурал сан. Сандарды осылай жазу санның стандарт түрі деп аталады.
Сандарды бұл түрде жазу көбіне химия, физикада қолданылады.
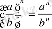
Дәреженің қасиеттері туралы түсінік беру:
1. a
m
a
n
=a
m+n
2. a
m
˸a
n
=a
m-n
3. (a m ) n =a m
n 4. (аbc) n = а n b n c n 5.
![]()
![]()
ІҮ. Бекіту кезеңі:
1. Қайталау: (слайд 3)
- Санның квадраты, кубы туралы не білесіздер?
- Негіздері бірдей дәрежелерді көбейту формуласын жазып, сәйкес ережені айтып беріңдер.
- Негіздері бірдей дәрежелерді бөлу формуласын жазып, сәйкес ережені айтып беріңдер.
- 00өрнегінің мағынасы бар ма?
- Сан дәрежесінің соңғы цифры 0, 1, 5 және 6 болатын сан қандай цифрмен аяқталады?
- Өрнектің мәндер жиынын табыңдар:
- Өрнек қандай цифрмен аяқталады:
Рефлексия
Санды өрнекті, әріпті өрнекті,
санның бөлгіштерін, еселіктерін,
санды жай көрсеткіштерге жіктеуді, оң, теріс сандарды,
рационал сандарды,, теңдеуді,
теңсіздікті, дәрежелер туралы түсінік
Дәреженің анықтамасын
Негіздері бірдей дәрежелерді көбейту және бөлуді
Санның квадраты және кубын
Дәрежені дәрежеге шығаруды
Көбейтіндіні дәрежеге шығаруды және амалдар орындауда
Бөлшекті дәрежеге шығаруды және амалдар орындауда қолдануды
2. Жаттығулар орындау: ауызша № 97, 98, 100; жазбаша № 106, 109, 112, 1143
3. Берілген сөздердің формуламен байланысын көрсетіңдер: (слайд 4)
- Негіздері бірдей дәрежелерді
көбейту
- Дәреже көрсеткіші нөл
- Дәрежелерін анықтау
- Дәрежені дәрежелеу
- Көбейтіндіні дәрежелеу
- Бөліндіні дәрежелеу
- 1 -дің дәрежесі
- Негіздері бірдей дәрежені бөлу
- (-1) жұп дәрежесі
А. . (ab) n =a n . b n
B . a n : a m = a n-m
C. (a /b) n = a n /b n b≠ 0
D. 1 n = 1
E. (a n ) m = a nm
F. a 0 = 1
G . (-1) n =1, егер n - жұп
І. a n . a m = a n+m
J. a n = a . a . a …a
n - көбейткіш
4. Бос торкөзді толтырың: (слайд 5)
a n a m =a n+m a = 1 a n ·b m =(ab) a n a m = a n-m
(-1) n = -1 a nm = a n / = (a/b) n , b≠0
5. Есептеңдер: 2 3 ·5 3 ; ( 1/2) 5 ·2 5 ; (- 2/3) 3 ·(3/2) 3 ; 25 2 ·(-4) 2 · (0, 01) 3
6. Дәрежені орындамай ақ өрнектің мәнін салыстырыңдар:
8 2 және 8 3 ; (0, 71) 3 және (0, 71) 4 ; (-1) 4 және (-1) 6 ; (4/3) 4 және (4/3) 3 ; 1 10 және 1 2
7. Теңдік тура болатындай айнымалының мәнін табыңдар: (слайд 6)
2 х · 2 5 =2 7 ; 10 х : 10 3 = 10 2 ; 5 2 : 5 2 = 5 х ; ((1, 3) 2 ) 6 = 1, 3 4х
8 . Жұптық жұмыс : (тапсырмасы бар үлестірмелер)
Өзара тексеру: ( бір-бірінің дәптерлерін тексеру)
Бағалау критерийі : дұрыс жауаптар саны бойынша.
- Дәрежелерді көбейтінді түрінее келтіріңдер:
- Дәрежені бөлінді түрге келтіріңдер:
- Дәрежені дәрежеге шығарың: (-1/3ху3) 2(-6хуz2)
4. Өрнектің мәнін табыңдар:
5. Көбейтіндіні дәреже түрінде көрсетіңдер:
9. Өзіндік жұмыс. (слайд 7)
Оқушының аты жөні:
- Іс жүргізу
- Автоматтандыру, Техника
- Алғашқы әскери дайындық
- Астрономия
- Ауыл шаруашылығы
- Банк ісі
- Бизнесті бағалау
- Биология
- Бухгалтерлік іс
- Валеология
- Ветеринария
- География
- Геология, Геофизика, Геодезия
- Дін
- Ет, сүт, шарап өнімдері
- Жалпы тарих
- Жер кадастрі, Жылжымайтын мүлік
- Журналистика
- Информатика
- Кеден ісі
- Маркетинг
- Математика, Геометрия
- Медицина
- Мемлекеттік басқару
- Менеджмент
- Мұнай, Газ
- Мұрағат ісі
- Мәдениеттану
- ОБЖ (Основы безопасности жизнедеятельности)
- Педагогика
- Полиграфия
- Психология
- Салық
- Саясаттану
- Сақтандыру
- Сертификаттау, стандарттау
- Социология, Демография
- Спорт
- Статистика
- Тілтану, Филология
- Тарихи тұлғалар
- Тау-кен ісі
- Транспорт
- Туризм
- Физика
- Философия
- Халықаралық қатынастар
- Химия
- Экология, Қоршаған ортаны қорғау
- Экономика
- Экономикалық география
- Электротехника
- Қазақстан тарихы
- Қаржы
- Құрылыс
- Құқық, Криминалистика
- Әдебиет
- Өнер, музыка
- Өнеркәсіп, Өндіріс
Қазақ тілінде жазылған рефераттар, курстық жұмыстар, дипломдық жұмыстар бойынша біздің қор #1 болып табылады.

Ақпарат
Қосымша
Email: info@stud.kz