Кері тригонометриялық теңдеу, теңсіздіктер

Сабақтың тақырыбы : Кері тригонометриялық теңдеу, теңсіздіктер
Сабақтың мақсаты :
1. Дидактикалық : кері тригонометриялық теңдеу, теңсіздіктерді шеше білуге үйрету
2. Тәрбиелік : ұқыптылыққа, жинақтылыққа, тапқырлыққа тәрбиелеу;
3. Дамытушы : оқушының ойлау қабілетін дамыту, ми жұмысының іскерлігін
арттыру.
Сабақтың түрі : практикалық.
Сабақты оқыту әдісі : ұжымдық, даралап оқыту.
Пәнаралық байланыс : оқушылардың білімін пәнаралық интеграциялау арқылы тиянақтау,
негізгі меже - функция қасиеттерін қолдануға бағыттау.
- Кіріспе мотивациялық бөлім
1. 1. Проблемалық ахуал : кері тригонометриялық теңдеу, теңсіздіктерді шешудің дайын формуласы жоқ болғандықтан, оны формальды операциялар арқылы шешу мүмкін емес.
1. 2. Сабақтың міндеті : осы проблемалық ахуалдан шығу жолдарын іздестіру: кері тригонометриялық функциялардың қасиеттерін қолдану арқылы қарапайым теңдеу, теңсіздіктерге көшу жолдарын меңгеру.
1. 3. Бағытталған негіздегі іс- әрекеттер : теориялық материалды қайталап, есеп шығарудың негізін қалау.
1. 4. Өткен тақырыптың өзектілігі : кері тригонометриялық функциялардың қасиеттерін білу оқушыларды есеп шығару әрекетіне дайындайды.
2. Танымдық жұмыстар
2. 1. Оқушыларды қажетті ақпаратпен қамтамасыз ету: оқу материалдарын алдын ала
үлестіру.
2. 2. Қосымша әдебиет қолдану:
1) Н. Я. Виленкин и др. Алгебра и начало анализа 10
2) М. Л. Галицкий и др. Углубленное изучение курса алгебры и математического анализа
2. 3. Деңгейлік есептер шығару
3. Бақылау, бағалау: өздік жұмыс есептерін шығару.
4. Үйге тапсырма беру: Тарату материалындағы есептерді шығару.
5. Сабақты қорытындылау.
Оқу материалының мазмұны:
Теңдеу, теңсіздіктерді шешкенде кері тригонометриялық функциялардың ерекше қасиеттерін есте сақтап, олардың орындалуын қадағалау керек.
1.
.
немесе
.
немесе
.
, тақ функция, өспелі функция.
2.
немесе
.
немесе
.
.
кемімелі функция.
3.
.
, яғни
.
, яғни
.
, тақ функция, өспелі функция.
4.
.
, яғни
.
, яғни
.
.
кемімелі функция.
5.
1. Алдымен қарапайым теңдеу, теңсіздіктерді қарастырайық.
1)
, бұл екі бұрыштың теңдігі. Теңдіктің екі жағын синустаймыз:
![]()
. Жауабы:
.
2)
,
болғандықтан,
.
3)
![]()
. Жауабы:
.
4)
![]()
![]()
![]()
,
![]()
Жауабы:
.
5)
,
өспелі функция.
![]()
![]()
Жауабы:
.
6)
![]()
![]()
теңдігін пайдаланамыз:
![]()
,
![]()
. Жауабы:
.
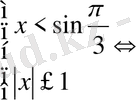
7)
,
болғандықтан.
Жауабы :
.
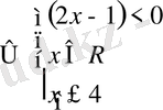
8)
,
болғандықтан,
.
Жауабы:
![]()
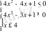
9)
![]()
![]()
![]()
![]()
![]()
.
Жауабы:
![]()
10)
![]()
қасиетін қолданамыз.
![]()
![]()
.
Жауабы:
.
11)
![]()
, келтіру формуласын қолданамыз.
![]()
,
![]()
![]()
,
.
Жауабы:
.
Жаттығулар:
Теңдеуді шешу:
Теңсіздікті шеш:
Екі жағында бірдей кері тригонометриялық функция болатын теңдеу, теңсіздіктер.
,
функцияларының өспелі, ал
,
функциялары кемімелі,
,
функцияларының анықталу облысы
болатынын қолдану керек.
Кері тригонометриялық функцияларға байланысты теңдеу, теңсіздіктерді қарапайым мәндес теңдеу, теңсіздіктермен алмастыру жолдарын қарастырайық.
Мысалдар:
- теңдеуін шешу керек. Ол үшін мәндес жүйеге көшеміз:
Жүйедегі теңдеуді шешеміз:
![]()
![]()
![]()
![]()
![]()
.
Мұндағы
мәні жүйедегі теңсіздікті қанағаттандырмайды.
Жауабы:
.
- теңдеуітеңдеуімен мәндес.
![]()
![]()
Жауабы:
.
- теңсіздігін шешу үшін мәндес жүйеге көшеміз:
![]()
![]()
![]()
Жауабы:
![]()
- теңсіздігін мәндес жүйемен алмастырамыз:
- теңсіздігін шешу үшін
теңсіздігіне көшеміз.
Жауабы :
.
Жаттығулар:
Теңдеуді шеш:
1)
![]()
![]()
2)
![]()
![]()
3)
![]()
![]()
4)
![]()
![]()
5)
![]()
![]()
Теңсіздікті шеш:
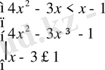
3. Екі жағы да әртүрлі кері тригонометриялық функциялар болатын теңдеу, теңсіздіктер
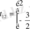
- Егерсанытеңдеудің шешімі болсын. Сонда, деп алсақ,, . Бұдан. Яғни.
- формуласын қолдансақ, .
- формуласы бойынша.
- формуласы бойынша.
- формуласы бойынша, .
- формуласы бойынша, .
Ескерту:
- - 4) пунктеріндегі теңдеулердің шешімі, болатындайсаны болу керек. Олай болмаса, теңдіктің оң және сол жағындағы мәндер жиыны қиылыспайды. Сонда
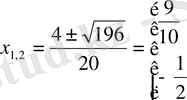
Мысал.
- теңдеуін шешу керек.
Шешуі:
![]()
![]()
![]()
![]()
Жауабы: 2.
![]()
![]()
Жүйедегі теңдеудің шешімі
![]()
. Олардың біріншісі шешім бола алмайды.
Жауабы :2.
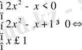
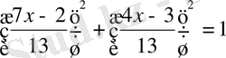
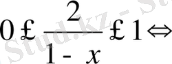
- теңсіздігі сол жақтағы өрнектің мағынасы болатындай барлықхтер үшін дұрыс болады, себебі. Сондықтан
- Жауабы:
Жаттығу:
Теңдеуді шеш:
Теңдікті шеш:
4. Жаңа айнымалы енгізу әдісі:
Кері тригонометриялық функциялар енетін кейбір теңдеу, теңсіздіктерді жаңа айнымалы енгізу арқылы алгебралық түрге келтіруге болады. Сонымен қатар кері тригонометриялық функциялардың шектеулі екенін ескеріп отыру керек.
Мысалы:
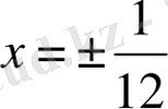
болсын
![]()
,
болғандықтан,
,
.
Жауабы:
.
болсын, мұндағы
![]()
,
![]()
![]()
Сонда
![]()
Жауабы:
![]()
Жаттығу.
Теңдеуді шеш:
3. Бақылау: өздік жұмыс есептерін шығару, бағалау
4. Үйге тапсырма беру: Тарату материалындағы есептер.
5. Сабақты қорытындылау.
- Іс жүргізу
- Автоматтандыру, Техника
- Алғашқы әскери дайындық
- Астрономия
- Ауыл шаруашылығы
- Банк ісі
- Бизнесті бағалау
- Биология
- Бухгалтерлік іс
- Валеология
- Ветеринария
- География
- Геология, Геофизика, Геодезия
- Дін
- Ет, сүт, шарап өнімдері
- Жалпы тарих
- Жер кадастрі, Жылжымайтын мүлік
- Журналистика
- Информатика
- Кеден ісі
- Маркетинг
- Математика, Геометрия
- Медицина
- Мемлекеттік басқару
- Менеджмент
- Мұнай, Газ
- Мұрағат ісі
- Мәдениеттану
- ОБЖ (Основы безопасности жизнедеятельности)
- Педагогика
- Полиграфия
- Психология
- Салық
- Саясаттану
- Сақтандыру
- Сертификаттау, стандарттау
- Социология, Демография
- Спорт
- Статистика
- Тілтану, Филология
- Тарихи тұлғалар
- Тау-кен ісі
- Транспорт
- Туризм
- Физика
- Философия
- Халықаралық қатынастар
- Химия
- Экология, Қоршаған ортаны қорғау
- Экономика
- Экономикалық география
- Электротехника
- Қазақстан тарихы
- Қаржы
- Құрылыс
- Құқық, Криминалистика
- Әдебиет
- Өнер, музыка
- Өнеркәсіп, Өндіріс
Қазақ тілінде жазылған рефераттар, курстық жұмыстар, дипломдық жұмыстар бойынша біздің қор #1 болып табылады.

Ақпарат
Қосымша
Email: info@stud.kz