Visual basic ортасында программа құру поцесінде шартты операторды пайдалану

Ашық сабақ
сыныбы
өтілген уақыты
Сабақтың тақырыбы : Visual Basic ортасында бағдарлама құру процесінде Шартты операторды пайдалану
Сабақтың мақсаты :
а) білімділік: Оқушыларды шартты операторының синтаксисімен таныстыру; жағдайға байланысты шартты және шартсыз операторларды тиімді әрі білімділікпен қолдануды, Windows үшін Visual Basic 6. 0 объектілі-бағдарлы бағдарламалау ортасында қосымша құра білу, қосымша жасауға пайдалану жолдарын меңгеру.
ә) дамытушылық: шартты операторды тиімді әрі білімділікпен қолдана алу, біліктілігін қалыптастыру. Алгоритмдік ойлау стилін жетілдіру және логикалық ойлауды дамыту.
б) тәрбиелік: Компьютерлік техниканы дұрыс, ұқыпты ұстауға, бағдарлама құру мәдениеттілігіне, жауапкершілікке тәрбиелеу.
Жаңа ұғымдар мен терминдер:
If, then, else, қызметші сөзі, шарт, логикалық өрнек, ақиқат, жалған, тармақ.
Білім мен біліктілкке қойылатын талаптар:
Оқушылар білуі тиіс:
- Шартты операторы түсінігін;
- қызметші сөздер аты мен мәнін;
- If, then, else операторларының қызметін;
- қызметші сөздердің жазылу синтаксисін;
- программа құру процесінде қолданылу тәртібін, жолдары мен тәсілдерін.
Оқушылар үйренуі тиіс:
- есептің берілуіне қарай операторларды таңдай және қолдана білуді;
- программа құруды дұрыс ұйымдастыруды;
- бағдарламаны қалыптауды;
- программаны тестілеу жолдарын;
- бағдарламаны сақтауды, оны ашуды.
Сабақ жоспары:
- If, then, else операторлар қызметін талдау;
- If, then, else операторлар қолдану тәсілдерін үйрену;
- Есептерді шешуде If, then, else операторларын қолдану программаларымен эксперимент жүргізу;
- Өздік жұмысты орындау.
Сабақтың көрнекілігі : Интерактивтік тақта, Ash_10. flp атты флипчарт, Test_10. flp файлдары және A_cabak. ppt атты презентация файлы
Техникалық құралдар : компьютер, интерактиктік тақта, Activote құралы
Компьютерді, тақтаны пайдалану уақыты : 25-30 минут
Пән аралық байланыс : математика, физика, экономика, қазақ тілі, биология
Түрі: Жаңа білім меңгерту
Әдісі: көрнекілікті (демонстрациялық) баяндау
Құрылымы: I. Ұйымдастыру кезеңі
II. Үй тапсырмасын тексеру
III. Білімдерін тексеру
ІV. Жаңа материалды түсіндіру
V. Түсінгенін тексеру
а) Практикалық жұмыс
б) Тест
VI. Бекіту, бағалау
VII. Үйге тапсырма
Сабақтың барысы: І. Ұйымдастыру кезеңі. Сәлемдесу. Сабаққа қатысуын түгендеу.
Оқушылардың үй тапсырмасын орындауын тексеру.
Өткен материалдарды игеруін тексеру мақсатында төмендегідей сұрақтарды қою:
- Енгізу және шығару функциялары қандай қандай қызмет атқарады?
- Label және TextBox компоненттерінің айырмашылығы неде?
- Код жазу синтаксисі қандай?
- InputBox және MsgBox функциялары қандай синтаксисте жазылады?
Жаңа сабақ мазмұны.
Кейбір есептердің шешуі тек сызықтық алгоритммен қалмайды, сонымен қатар әр түрлі есептеу жолдарын қарастырады. Алгоритм құрған кезде бір немесе басқа әрекетті орындағанда «жағдай бойынша әрекет ету» қажет болатын жағдайлар жиі кездеседі.
Мысалы:
Біз ауа райына байланысты күн сайын әр түрлі киінеміз. Егер күн суық болса, онда пальто, ал әйтпесе куртка киеміз.
![]()
Көшеде де тұрып: автобус келе жатыр ма екен деп қараймыз. Егер иә болса, онда біз оған отырамыз, ал әйтпесе - жаяу кетеміз.
Матаматикада:
1. Қарасай батыр бабамыз 1684 жылы Арқада қалмақтармен соғысады. Со кезде ол 20 жасар жігіт еді. Қарасай батыр бабамыздың туған жылы тақ сан ба, әлде жұп сан ба?
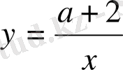
2. х аргументінің берілген мәні бойынша функцияның мәнін есептейтін бағдарлама жаз:
y=
![]()
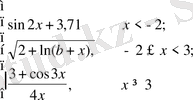
3. c=
![]()
Программада:
![]()
![]()
![]()
Бір немесе басқа жолды таңдау есептің шартымен анықталады. Алгоритмде жазылған әрекеттерді іске асырудың бір немесе басқа жолын таңдау тармақталу командасының көмегімен жүзеге асады.
Алгоритм - орындаушыға арналған әрекет жоспары.
Есептеу процесінің бірнеше мүмкін жолынан біреуін таңдау алгоримті - тармақталу алгоритмі деп аталады.
Әрбір таңдау жолы алгоритмнің тармағы деп аталады.
Тармақталу алгоритмнің белгісі - шартты тексеру операциясының болуы.
Алгоритм схемасында шартты тексеру операциясын логикалық блок орындайды.
Логикалық блок - ромбымен бейнеленеді.
Ішіне тексерілетін шарт жазылады.
Және де екі шығысы болады: «иә» (ақиқат) және «жоқ» (жалған) .
Егер шарт (қатынас) ақиқат болса (орындалса), онда блоктан ‘иә’ шығысы бойынша шығамыз; егер шарт жалған (орындалмаса) болса - ‘жоқ’ шығысы бойынша шығамыз. Демек, программаның орындалу бағыты өзгереді.
Есептерді шешкенде тармақталған есептеу процестерін беру және операторлардың орындалуының табиғи тізбегін өзгерту үшін (басқаруды беру), яғни тармақталу алгоритмін машинада жүзеге асыру үшін Visual Basic 6. 0 объектілі-бағытталған программалау тілінде де Turbo Basic немесе Qbasic программалау тіліндегідей арнайы конструкция қолданылады. Олар:
Шартты көшу операторы;
Шарттсыз көшу операторы;
Таңдау (вариант) операторы.
Программалау тілінде шартты операторлар екі түрде: толымды және толымсыз формада да қолданылады.
Толымды түрінің жазылу форматы
(жазылу синтаксисі) :
If < логикалық өрнек > then
< оператор1>
Else
< оператор2 >
Мұндағы
If (егер) - оператордың аты немесе қызметші сөз;
Then (онда) - оператордың аты немесе қызметші сөз;
Else (әйтпесе) - оператордың аты немесе қызметші сөз;
< логикалық өрнек > - тексерілетін жай немесе күрделі шарт;
< оператор1> және < оператор2> - орындалатын операторлар.
Немесе
If B then S1 Else S2
Мұндағы В - логикалық өрнек;
S1 және S2 - операторлар.
Оператордың қызметі.
Программаның орындалу процесінде If қызметші сөзінен кейін жазылған <логикалық өрнек> тексеріледі. Егер ол ақиқат болса, онда then қызметші сөзінен кейін жазылған <оператор1> орындалады да нәтижесі келесі операторға беріледі, әйтпесе else қызметші сөзінен кейін жазылған <оператор2> орындалады және нәтижесі келесі операторға беріледі
Шарт - логикалық өрнек, операндалар мен операциялар белгісінен құралған.
Шарт түрлері:
1. Жай шарт (логикалық өрнек) - қатынас амалдарымен байланысқан екі арифметикалық өрнек немесе текстік шама (символдық немесе литерлік шама) .
Мысалы:
X+y<7; y≥lnz; R≤x 2 +√d; 2≠3; ‘қосу’= ‘алу’; B= ‘да’
- Күрделі шарт (логикалық өрнек) - қатынас амалдары және логикалық амал арқылы байланысады.
0≤х≤1 → (x>=0) and (x<=1), немесе (x=0) or (x=1)
Операциялар :
- салыстыру операциялары; өзара бір типті шамалар салыстырылады.
- логикалық операциялар;
Мысалы:
(x>=1) and (x<=2) - нүкте [1, 2] кесіндісінде жатады,
Шартты оператордың толымсыз түрі:
If < логикалық өрнек > then < оператор1>
Шартты оператордың толымсыз түрі сирек қолданылуы да мүмкін.
Эксперимент:
1. Берілген екі санның үлкенін (max) табу бағдарламасының үзіндісі:
If x>y then z:=x else z:=y;
If қызметші сөзінен кейінгі шарт ақиқат болса then қызметші сөзінен кейінгі оператор орындалады, яғни x мәні z шамасына меншіктелінеді, ал шарт жалған болғанда else қызметші сөзінен кейінгі оператор орындалып, z айнымалысына y мәні меншіктелінеді
Кейбір есептерді шешуге бағдарлама құрғанда бір нәтижемен тоқтамай, тағыда бірнеше нәтиже алу қажет болған жағдайда шартты оператордың толымсыз if . . . then конструкциясын бірнеше рет қолдануға болады.
- Бөлу амалын Visual Basic 6. 0 программа қосымшасында орындау.
Private Sub Command1_Click()
a = InputBox("sangy engiz:")
b = InputBox("sangy engiz:")
If b = 0 Then MsgBox ("Sandy nolge boluge bolmaidy!") Else c = a / b: Text1. Text = c
End Sub
![]()
![]()
Тапсырма
1.
функция мәнін есептейтін қосымша жаса
2.
шартты анықтап, функция мәнін есептеуге бағдарлама жаз.
3. Арифметикалық төрт амалды орындайтын құрал - Арифмометр қосымшасын жаса.
4. a, b, x бүтін сандары берілген. Меншіктеу қажет:
![]()
5. Рауан асық атып ойнау үшін радиусы 2 м шеңбер сызды. Ол шеңбердің жиегінде тұрып ортасындағы асықты атқанда, асық 3 м қашықтыққа ұшып түсті. Асық шеңбердің ішіне түсті ме, әлде сыртына түсті ме? Нәтижені мәтін түрінде: «Асық шеңбердің сыртына түсті» немесе «Асық шеңбердің ішіне түсті» деп беру керек.
6. Фирма қызметкерді жұмысқа қабылдауда. Қабылдау шарты жұмыс стажының 3 жылдан кем болмауын және жасы 35-тен үлкен болмауын талап етеді. Үміткердің осы талапты қанағаттандыратынын тексеретін бағдарлама жаз.
Бекіту сұрақтары
- Шартты оператор қандай алгоритмдік құрылымды іске асыру үшін қолданылады?
- Шартты оператордың жазылу синтаксисі қандай түрде пайдаланылады?
- Шартты беру үшін қандай амалдар қолданылады?
- Іс жүргізу
- Автоматтандыру, Техника
- Алғашқы әскери дайындық
- Астрономия
- Ауыл шаруашылығы
- Банк ісі
- Бизнесті бағалау
- Биология
- Бухгалтерлік іс
- Валеология
- Ветеринария
- География
- Геология, Геофизика, Геодезия
- Дін
- Ет, сүт, шарап өнімдері
- Жалпы тарих
- Жер кадастрі, Жылжымайтын мүлік
- Журналистика
- Информатика
- Кеден ісі
- Маркетинг
- Математика, Геометрия
- Медицина
- Мемлекеттік басқару
- Менеджмент
- Мұнай, Газ
- Мұрағат ісі
- Мәдениеттану
- ОБЖ (Основы безопасности жизнедеятельности)
- Педагогика
- Полиграфия
- Психология
- Салық
- Саясаттану
- Сақтандыру
- Сертификаттау, стандарттау
- Социология, Демография
- Спорт
- Статистика
- Тілтану, Филология
- Тарихи тұлғалар
- Тау-кен ісі
- Транспорт
- Туризм
- Физика
- Философия
- Халықаралық қатынастар
- Химия
- Экология, Қоршаған ортаны қорғау
- Экономика
- Экономикалық география
- Электротехника
- Қазақстан тарихы
- Қаржы
- Құрылыс
- Құқық, Криминалистика
- Әдебиет
- Өнер, музыка
- Өнеркәсіп, Өндіріс
Қазақ тілінде жазылған рефераттар, курстық жұмыстар, дипломдық жұмыстар бойынша біздің қор #1 болып табылады.

Ақпарат
Қосымша
Email: info@stud.kz