Жай бөлшектерді көбейту

Сабақтың тақырыбы: Жай бөлшектерді көбейту
Сабақтың мақсаты: Оқушылардың жай бөлшектерді қосу, азайту, көбейту жөніндегі білімдерін тиянақтау, толықтыру, бекіту. Оқушылардың іскерліктерін, өз бетімен еңбектену сезімдерін, білімдерін дамыту. Пәнге қызығушылығын арттыру. Оқушыларды шыдамдылыққа, ұйымшылдыққа, сыйлыстыққа тәрбиелеу.
Сабақтың түрі: Аралас сабақ.
Сабақтың типі: Бекіту сабағы.
Сабақтың көрнекілігі : қима қағаз
Сабақтын барысы
- Ұйымдастыру кезіні
- Ғалым математиктер
- Шапшандық сайысы
- «Домино» ойыны.
- Кітаппен жұмыс
- Сабақты бекіту
- Үй тапсырмасы, бағалау, қорытындылау.
Тақтада: Білекті бірді жағады,
Блімді мыңды жығады. (Халық мақалы)
Ақыл - ойды тәртіпке келтіретін математика, сондықтан оны оқу керек.
М. В. Ломоносов
- Сәлеметсіздер ме оқушылар. Отырыныздар. Бүгін біз өткен тақырыпты қорытындылаймыз. Бүгінгі сабақтың эпиграфы ақыл-ойды тәртіпке келтіретін матеметика, сондықтан оны оқу керек. Бұны айтқан Ломоносов. Біз бүгін математика сабағында өзіміздің ақыл ойымызды кеңейтеміз.
- Казір біз сабағымызды ойын түрінде өткіземіз. Әр бір оқушы өз үшін есепті шығарады. Ал балалар ойын қызықты өту үшін есепті жақсы шығара білейік. Біз екі топка бөлініп есептерді шығарып, карточкаларды орына қойып, екі ғалым математиктердін аттарын табамыз.
1 топ
1)
2)
![]()
3)
4)
![]()
5)
6)
![]()
7)
![]()







2 топ
1)
2)
![]()
3)
4)
![]()
5)
6)
![]()
7)
![]()







- Шашпандық сайысы: Мұнда әр топтан бір оқушыдан шығып тақтаға есеп шығарады,
уақыт есептелінеді.
- «Домино» ойыны.














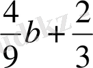
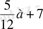
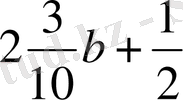
- Кітаппен жұмыс 195 бет № 751 есеп
Өрнектің мәнін табыңдар:
, мұндағы а= 4
;
, мұндағы b= 4
![]()
, мұндағы а= 2
;
, мұндағы b= 5
![]()
- Балалар біздің сабақ аяқталды. Қандай тақырыпты біз қайталадық?
А) Жай бөлшектерді қосу, азайту
В) Жай бөлшектерді көбейту
- Үй тапсырмасы
- Бағалау, қорытындылау.
Білекті
бірді
жазығы, Блімді
мыңды
жығады. (Халақ мақалы)
1)
![]()
2)
![]()
3)
![]()
4)
![]()
5)
![]()
6)
![]()
7)
![]()
1)
2)
3)
4)
5)
6)
7)














- Іс жүргізу
- Автоматтандыру, Техника
- Алғашқы әскери дайындық
- Астрономия
- Ауыл шаруашылығы
- Банк ісі
- Бизнесті бағалау
- Биология
- Бухгалтерлік іс
- Валеология
- Ветеринария
- География
- Геология, Геофизика, Геодезия
- Дін
- Ет, сүт, шарап өнімдері
- Жалпы тарих
- Жер кадастрі, Жылжымайтын мүлік
- Журналистика
- Информатика
- Кеден ісі
- Маркетинг
- Математика, Геометрия
- Медицина
- Мемлекеттік басқару
- Менеджмент
- Мұнай, Газ
- Мұрағат ісі
- Мәдениеттану
- ОБЖ (Основы безопасности жизнедеятельности)
- Педагогика
- Полиграфия
- Психология
- Салық
- Саясаттану
- Сақтандыру
- Сертификаттау, стандарттау
- Социология, Демография
- Спорт
- Статистика
- Тілтану, Филология
- Тарихи тұлғалар
- Тау-кен ісі
- Транспорт
- Туризм
- Физика
- Философия
- Халықаралық қатынастар
- Химия
- Экология, Қоршаған ортаны қорғау
- Экономика
- Экономикалық география
- Электротехника
- Қазақстан тарихы
- Қаржы
- Құрылыс
- Құқық, Криминалистика
- Әдебиет
- Өнер, музыка
- Өнеркәсіп, Өндіріс
Қазақ тілінде жазылған рефераттар, курстық жұмыстар, дипломдық жұмыстар бойынша біздің қор #1 болып табылады.

Ақпарат
Қосымша
Email: info@stud.kz