II тарау бойынша өтілген материалды қайталау (Арифметикалық және геометриялық прогрессия)

Шығыс Қазақстан облысы. Өскемен қаласы. “Көпбейінді №3 мектеп-гимназиясы” Математика пәні мұғалімі Маубакимова Айнұр Төлеуханқызы.
Сабақтың тақырыбы: II тарау бойынша өтілген материалды қайталау (Арифметикалық және геометриялық прогрессия)
Сабақтың мақсаты:
1) Арифметикалық және геометриялық прогрессия бойынша білімін жинақтап жүйелейді;
2) Ойын дәлелді түрде жеткізеді, есепті шешуде білімін қолдану дағдысын дамытады. Барлық пікірді салыстыра отырып дұрыс пікірді табуға дағдыланады;
3) Басқа оқушыларды тыңдай отырып, топтық жұмыс нәтижесінде сыйластыққа тәрбиелейді, өзін тұлға ретінде сезіне отырып жауапкершілікке тәрбиеленеді.
Алғышарттар: жоспар бойынша тақырыптар толық оқылды, тарауды қайталап жүйелеу үшін формулаларды қолдана біледі, анықтамаларды түсініп айта алады.
Сабақтың түрі: қайталау сабағы.
Сабақтың құрылымы: СТО жобасы бойынша.
Сабақтың өту барысы:
- Қызығушылықты ояту.
Топқа бөлемін.
Не туралы оқып үйренгенін еске түсіреді
Ойын:тез және дұрыс орындауға негізделген.
- Мағынаны ажыратады:
Берілген тапсырма бойынша модель құрады, бағалайды.
- Ой толғаныс.
Әр топ жеке тапсырма-карточкамен жұмыс істейді.
Үйге тапсырма алады.
Өту барысы:
I. Қызығушылықты оятамын. 15 мин.
1. Топқа бөлемін. Фигуралар арқылы. 2 мин.
2. Сандар тізбегі деген тарауды оқыдық. Қандай жаңа математикалық ұғымдармен таныстық, соны топта еске түсіріп айтып жіберейік. 2мин.
Сұқ саусақпен топты таңдау стратегиясы бойынша 1 топ ойын ортаға салады . 2 мин.
3. “Тез және дұрыс жауапты тап” ойынын ойнаймыз. 8 мин.
1 топтан 1 оқушы бастайды. 2 топқа сұрақ қояды. 2-ші топта 1 оқушы жауап береді, жауап дұрыс болса ары қарай жалғастырады, қате болса топ ойыннан шығып қалады. Соңғы қалған топ жеңімпаз атанады.
4. Мұғалімнің сұрағы. Тарауды оқып үйренген кезде есептерді шығару үшін нені білу керек? 1 мин.
II. Мағыныны ажыратады.
5. Білемін:плакатқа нені білетіндерін жазып, бейнелеп көрсетеді. 5 мин.
─арифметикалық прогрессияның n-ші мүшесінің формуласы
─ арифметикалық прогрессияның айырмасының формуласы
─арифметикалық прогрессияның ортасын табу формуласы
─арифметикалық прогрессияның алғашқы n мүшесінің
қосындысының формуласы
─геометриялық прогрессияның n-ші мүшесінің формуласы
─ геометриялық прогрессияның еселігінің формуласы
─геометриялық прогрессияның ортасын табу формуласы
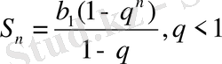
─геометриялық прогрессияның алғашқы n мүшесінің
қосындысының формуласы
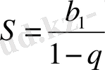
─ шексіз кемімелі геометриялық прогрессияның қосындысы
6. Топпен басқа топтың жұмысын бағалайды. 2 мин.
III. Ой толғаныс.
7. Үйрендім: “Эстафета” ойыны 8 есепті кезекпен шығарып тақтада орындайды.
Орындап болған оқушы қалай орындалатынын айтады?
1.
формуласымен берілген тізбектің жетінші мүшесін табыңдар. ж/ы:131
2.
және
болса, онда d-ны табыңдар. ж/бы:
3. 56; 46; 36 ; … арифметикалық прогрессиясының алғашқы алты мүшесінің қосындысын табыңдар. ж/бы: 186
4.
және
Equation. 3 болса, онда
Equation. 3 -ні табыңдар. ж/бы: 23
5.
және
болса, онда
- ді табыңдар. ж/бы: 0, 5
6. 7; 14; 28 ; … геометриялық прогрессиясының алғашқы бес мүшесінің қосындысын табыңдар.
ж/бы:217
7.
және
болса, онда
-ті табыңдар. ж/бы: 24
8.
және
болса, онда
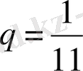
-ті табыңдар. ж/бы:12, 1
8. Әр топқа жеке тапсырма беріледі. (Кестедегі берілгендері бойынша белгісіздерді табу)
Жауабы: I топ. №1. n=9, S n =18, №2. d=-2, a n =-17.
II топ. №1. n=10, S n =210. №2. a 1 =6, a n =51.
III топ. №1. b n =19683, S n =29524. №2. b 1 =-1, 5, b n =40, 5.
IV топ. №1. b 1 =256, S n =510. №2. q=3, S n =2186.
9. Үйге тапсырма беріледі. Тестке дайындалып келу.
- Іс жүргізу
- Автоматтандыру, Техника
- Алғашқы әскери дайындық
- Астрономия
- Ауыл шаруашылығы
- Банк ісі
- Бизнесті бағалау
- Биология
- Бухгалтерлік іс
- Валеология
- Ветеринария
- География
- Геология, Геофизика, Геодезия
- Дін
- Ет, сүт, шарап өнімдері
- Жалпы тарих
- Жер кадастрі, Жылжымайтын мүлік
- Журналистика
- Информатика
- Кеден ісі
- Маркетинг
- Математика, Геометрия
- Медицина
- Мемлекеттік басқару
- Менеджмент
- Мұнай, Газ
- Мұрағат ісі
- Мәдениеттану
- ОБЖ (Основы безопасности жизнедеятельности)
- Педагогика
- Полиграфия
- Психология
- Салық
- Саясаттану
- Сақтандыру
- Сертификаттау, стандарттау
- Социология, Демография
- Спорт
- Статистика
- Тілтану, Филология
- Тарихи тұлғалар
- Тау-кен ісі
- Транспорт
- Туризм
- Физика
- Философия
- Халықаралық қатынастар
- Химия
- Экология, Қоршаған ортаны қорғау
- Экономика
- Экономикалық география
- Электротехника
- Қазақстан тарихы
- Қаржы
- Құрылыс
- Құқық, Криминалистика
- Әдебиет
- Өнер, музыка
- Өнеркәсіп, Өндіріс
Қазақ тілінде жазылған рефераттар, курстық жұмыстар, дипломдық жұмыстар бойынша біздің қор #1 болып табылады.

Ақпарат
Қосымша
Email: info@stud.kz