Өрнектер. Арифметикалық өрнектерді жазу ережелері

Психологиялық тренинг. «тілек айту».
Сабақтың тақырыбың, мақсатын түсіндіру
Табыс критерийлерді анықтау.
Сабаққа психологиялық жағынан дайындалады
Бір-біріне деген жақсы қарым-қатынас орнатады
Сабаққа назар аударады
Сабақтын тақырыбын, табыс критерийлерін алып шығады.
Үй жұмысын тексеру.
Таратпа парақтар арқылы.
Берілген шамаларды типтерге топтастырындар.
Жаңа сабақ.
Мәтінмен жұмыс, INSERT әдісі.
Тәжірибелік жұмыс.
Таратпа парақтарда практикалық тапсырмалар
Практикалық тапсырма.
Өрнектер және олардың жазылуы.
1. Келесі өрнектерді Паскаль тілінде жазыңдар
2. Мүмкін болса, айнымалылардың мәнін есептеңдер:
A:=sqrt(9) B:=sqr(9) C:=sqrt(-9) D:=sqr(-9) E:=sqr(0. 1)
- Программалау тілінің ережелерін сақтай отыра келесі өрнектерді жазыңдар:
4. Төмендегі арифметикалық өрнектерді Паскаль тілінде жазыңдар:
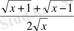
а)
;





Оқушылар жеке жұмыс атқарады. Өткен тақырып бойынша білімдерін жүйелейді.
Мәтінді белгілеп оқу. Тақырып бойынша теориялық білімдерін жүйелейді, еске түсіреді.
Топта жұмыс атқарады.
Тапсырмалардың шешуі:
((5. 2-3. 5) *(4. 8-1. 5) ) /(2. 25+5. 24) .
Келтірілген кестені толтыра отыра сабақтың мазмұны бойынша қорытынды шығар.
Қорытынды:
Берілген шамаларды типтерге топтастырындар.
Өрнектер және олардың жазылуы.
1. Келесі өрнектерді Паскаль тілінде жазыңдар
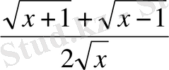
а)
;


2. Мүмкін болса, айнымалылардың мәнін есептеңдер:
A:=sqrt(9) B:=sqr(9) C:=sqrt(-9) D:=sqr(-9) E:=sqr(0. 1)
- Программалау тілінің ережелерін сақтай отыра келесі өрнектерді жазыңдар:



4. Төмендегі арифметикалық өрнектерді Паскаль тілінде жазыңдар:
- Іс жүргізу
- Автоматтандыру, Техника
- Алғашқы әскери дайындық
- Астрономия
- Ауыл шаруашылығы
- Банк ісі
- Бизнесті бағалау
- Биология
- Бухгалтерлік іс
- Валеология
- Ветеринария
- География
- Геология, Геофизика, Геодезия
- Дін
- Ет, сүт, шарап өнімдері
- Жалпы тарих
- Жер кадастрі, Жылжымайтын мүлік
- Журналистика
- Информатика
- Кеден ісі
- Маркетинг
- Математика, Геометрия
- Медицина
- Мемлекеттік басқару
- Менеджмент
- Мұнай, Газ
- Мұрағат ісі
- Мәдениеттану
- ОБЖ (Основы безопасности жизнедеятельности)
- Педагогика
- Полиграфия
- Психология
- Салық
- Саясаттану
- Сақтандыру
- Сертификаттау, стандарттау
- Социология, Демография
- Спорт
- Статистика
- Тілтану, Филология
- Тарихи тұлғалар
- Тау-кен ісі
- Транспорт
- Туризм
- Физика
- Философия
- Халықаралық қатынастар
- Химия
- Экология, Қоршаған ортаны қорғау
- Экономика
- Экономикалық география
- Электротехника
- Қазақстан тарихы
- Қаржы
- Құрылыс
- Құқық, Криминалистика
- Әдебиет
- Өнер, музыка
- Өнеркәсіп, Өндіріс
Қазақ тілінде жазылған рефераттар, курстық жұмыстар, дипломдық жұмыстар бойынша біздің қор #1 болып табылады.

Ақпарат
Қосымша
Email: info@stud.kz