Иррационал теңсіздіктер және олардың жүйелері

Шұбарқұдық гимназиясы
Ашық сабақ тақырыбы:
Математика пәні мұғалімі
Сарин Т. Б.
2015-2016 оқу жылы
Күні: 27. 11. 15
Сыныбы: 11
Тақырыбы: Иррационал теңсіздіктер және олардың жүйелері
Білімділік: оқушыларға иррационал теңсіздіктер және олардың жүйелері тақырыбын меңгерту, иррационал теңсіздіктер мен олардың жүйелеріне қатысты есептерді шығаруды үйрету.
Д амытушылық : оқушылардың математикалық сауаттылығын арттыру, пәнге қызығушылығын ояту, логикалық ойлауды және математикалық сөйлемді талдауды үйрету;
Тәрбиелік: жауапкершілікке, ұқыптылыққа, дәптерді таза ұстауға үйрету, адамгершілікке, отансүйгіштікке, бірін-бірі құрметтеуге тәрбиелеу.
Түрі: аралас
Әдісі: түсіндірмелі, сұрақ-жауап, есептер шығару
Көрнекілік құралдар: интерактивті тақта, тарату материалдары
Сабақтың барысы
Ұйымдастыру: оушыларды түгелдеу, сабаққа даярлығын қадағалау.
Үй тапсырмасы: №5-6
5)
6)
Жаңа сабақ
Анықтама. Айнымалысы түбір таңбасының ішінде немесе бөлшек көрсеткішті дәреженің негізі болатын теңсіздікті иррационал теңсіздік деп атайды.
Иррационал теңсіздіктердің келесі түрлерін қарастырамыз:
және теңсіздіктер жүйесі.
Карточкамен жұмыс





















Оқулықпен жұмыс №139-141 (тақтары)
Бекіту:
ҰБТ материалдарынан есептер шығару
2015 ж. 10-н. №3 есеп.
Теңсіздікті шешіңіз:
A)
B)
C) Шешімі жоқ
D)
E)
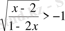
2012 ж. 10-н. №3 есеп.
теңсіздіктің ең үлкен шешімін табыңыз.
A)
B)
C) 3
D) 4
E) -3
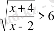
2014 ж. 4-н. №13 есеп.
Теңсіздікті шешіңіз:
A)
B)
C)
D)
E) Шешімі жоқ
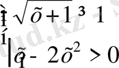
2005 ж. 26-н. №17 есеп.
Теңсіздіктер жүйесін шешіңіз:
A) Шешімі жоқ
B)
C)
D)
E)
Үйге тапсырма: №140-141 есептердің жұптары.
Бағалау:
Қорытынды.
- Іс жүргізу
- Автоматтандыру, Техника
- Алғашқы әскери дайындық
- Астрономия
- Ауыл шаруашылығы
- Банк ісі
- Бизнесті бағалау
- Биология
- Бухгалтерлік іс
- Валеология
- Ветеринария
- География
- Геология, Геофизика, Геодезия
- Дін
- Ет, сүт, шарап өнімдері
- Жалпы тарих
- Жер кадастрі, Жылжымайтын мүлік
- Журналистика
- Информатика
- Кеден ісі
- Маркетинг
- Математика, Геометрия
- Медицина
- Мемлекеттік басқару
- Менеджмент
- Мұнай, Газ
- Мұрағат ісі
- Мәдениеттану
- ОБЖ (Основы безопасности жизнедеятельности)
- Педагогика
- Полиграфия
- Психология
- Салық
- Саясаттану
- Сақтандыру
- Сертификаттау, стандарттау
- Социология, Демография
- Спорт
- Статистика
- Тілтану, Филология
- Тарихи тұлғалар
- Тау-кен ісі
- Транспорт
- Туризм
- Физика
- Философия
- Халықаралық қатынастар
- Химия
- Экология, Қоршаған ортаны қорғау
- Экономика
- Экономикалық география
- Электротехника
- Қазақстан тарихы
- Қаржы
- Құрылыс
- Құқық, Криминалистика
- Әдебиет
- Өнер, музыка
- Өнеркәсіп, Өндіріс
Қазақ тілінде жазылған рефераттар, курстық жұмыстар, дипломдық жұмыстар бойынша біздің қор #1 болып табылады.

Ақпарат
Қосымша
Email: info@stud.kz