Екі өрнектің қосындысының квадраты және айырымының квадраты формулалары

Сыныбы: 7 «а»
Күн реті: 7. 12. 2015ж Сабақтың реті: 38
Сабақтың тақырыбы: Екі өрнектің қосындысының квадраты және айырымының квадраты формулалары
Сабақтың мақсаты:
1) Білімділік: Екі өрнектің қосындысының және айырымының квадраты формулаларын қорытынып шығару. Формулаларды қолданып есептер шығаруға дағдыландыру
2) Тәрбиелік: Оқушылардың ғылыми дүниетанымын, тұлғаның адамгершілік қасиетін, көзқарастары мен сенімін қалыптастыру.
3) Дамытушылық: шығармашылықпен жұмыс істеуге, тез ойлауға, өз жетістігін бағалай білуге дағдыландыру, өз бетімен жұмыс істей білу дағдыларын дамыту
Сабақтың типі: Жаңа білімді меңгеру сабағы
Сабақтың түрі: Топтық жұмыс
Сабақта қолданылатын технология: Сын тұрғысынан ойлау
Сабақтың әдісі: Репродуктивтік
Сабақтың формасы:ұжымдық, топтық
Көрнекіліктер: таратпа қағаздар, слайдтар, бағалау ресурстары, жасыл шырша
Сабақтың барысы:
I. Ұйымдастыру: (4-мин)
1) Сынып бөлмесінің тазалығы мен оқушылардың сабаққа дайындығына көңіл бөлу
2) Оқушылардың назарын сабаққа аудару (тренинг өткізу)
Оқушылар Бәйтерек тобының «Жаңа жыл» әніне билейді.
«Ой қозғау» стратегиясы бойынша балаларға сұрақ беріледі.
1. Әлемдегі ең биік шың және оны кім бағындырған?(жауап)
2. Әлемде бір шың бар, оны ешкім бағындырмаған, ол қандай шың?(Білім шыңы)
Слайдтан берілген бір шұмақ өлеңді балалар хормен оқуы керек.
Шығамын десең биік шыңның басына,
Адал досың - Біліміңді ал қасыңа.
Зула, топ жар! Бәйгеге түс, бекем бол,
Тула, толқы, тебірен бірақ тасыма!
II. Білімді тексеру: (5-мин)
Оқушыларға өтілген тақырып бойынша есептер беріледі. Оқушы шығарған есептің жауабы қай түсте тұрса, оқушы сол түс бойынша топқа бөлініп отырады. (қызыл, сары, жасыл, көк)
III. Жаңа сабақтың мақсатын қою: (1-мин)
Бүгінгі сабақта екі өрнектің қосындысының квадраты және айырымының квадраты формулаларын қорытып шығарамыз. Және осы формулаларды қолданып есептер шығарамыз.
IV. Жаңа материалды түсіндіру: (10-мин)
Оқушыларға көпмүшені көпмүшеге көбейтуге тапсырма беріледі.
(Слайдтан көрсетіледі)
Көпмүшені көпмүшеге көбейтуді кейбір жағдайларда ықшамдырақ орындауға болады. Көпмүшелерді көбейтудің осы дербес жағдайларын өрнектейтін формулаларды қысқаша көбейту формулалары деп атайды.
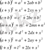
Екі өрнектің қосындысының квадраты
демек,
Екі өрнектің қосындысының квадраты бірінші өрнектің квадраты плюс екі еселенген бірінші және екінші өрнектердің көбейтіндісі плюс екінші өрнектің квадратына тең.
Екі айырмасының квадраты
демек,
Екі өрнектің айырмасының квадраты бірінші өрнектің квадраты минус екі еселенген бірінші және екінші өрнектердің көбейтіндісі плюс екінші өрнектің квадратына тең.
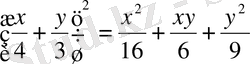
1-мысал
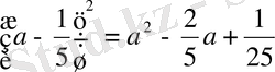
2-мысал
V. Жаңа материалды қабылдағандарын тексеру(20-мин)
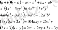
Оқулықпен жұмыс: №332-336 1) 3) 5) 7)
№332
1)
3)
5)
7)
№333
1)
3)
5)
7)
№334
1)
3)
5)
7)
№335
1)
3)
5)
7)
№336
1)
3)
5)
7)
VI. Сабақты бекіту, қорытындылау: (5-мин)
Өтілген тақырып бойынша ауызша есептер шығарып шыршаны безендіру. Кім қанша есеп шығарады, шыршаға сонша ойыншық іле алады.
VII. Үйге тапсырма беру: барлық оқушыларға: №332-336 жұп нөмірлері
Кейбір оқушыларға: қосындының квадраты формуласының геометриялық мағынасын табу?
VIII. Бағалау (Бағалау пирамидасындағы орны бойынша бағаланады)
- Іс жүргізу
- Автоматтандыру, Техника
- Алғашқы әскери дайындық
- Астрономия
- Ауыл шаруашылығы
- Банк ісі
- Бизнесті бағалау
- Биология
- Бухгалтерлік іс
- Валеология
- Ветеринария
- География
- Геология, Геофизика, Геодезия
- Дін
- Ет, сүт, шарап өнімдері
- Жалпы тарих
- Жер кадастрі, Жылжымайтын мүлік
- Журналистика
- Информатика
- Кеден ісі
- Маркетинг
- Математика, Геометрия
- Медицина
- Мемлекеттік басқару
- Менеджмент
- Мұнай, Газ
- Мұрағат ісі
- Мәдениеттану
- ОБЖ (Основы безопасности жизнедеятельности)
- Педагогика
- Полиграфия
- Психология
- Салық
- Саясаттану
- Сақтандыру
- Сертификаттау, стандарттау
- Социология, Демография
- Спорт
- Статистика
- Тілтану, Филология
- Тарихи тұлғалар
- Тау-кен ісі
- Транспорт
- Туризм
- Физика
- Философия
- Халықаралық қатынастар
- Химия
- Экология, Қоршаған ортаны қорғау
- Экономика
- Экономикалық география
- Электротехника
- Қазақстан тарихы
- Қаржы
- Құрылыс
- Құқық, Криминалистика
- Әдебиет
- Өнер, музыка
- Өнеркәсіп, Өндіріс
Қазақ тілінде жазылған рефераттар, курстық жұмыстар, дипломдық жұмыстар бойынша біздің қор #1 болып табылады.

Ақпарат
Қосымша
Email: info@stud.kz