Дәнекер ұлпаларының гликозамингликандары мен протеогликандары


МАРАТ ОСПАНОВ АТЫНДАҒЫ БАТЫС ҚАЗАҚСТАН
МЕМЛЕКЕТТІК МЕДИЦИНА УНИВЕРСИТЕТІ
СТУДЕНТТІҢ ӨЗІНДІК ЖҰМЫСЫ
Мамандығы: Стоматология
Пәні: Биохимия
Курс: ІІ
Тақырыбы : құрылымдық ұйымдастығы, олардың қызметі және биологиялқ маңызы. Дәнекер ұлпаларының гликозамингликандары мен протеогликандары.
Орындаған: Аxмедьярова А. Т.
Топ: 202
Тексерген : Бесімбаева Ж. Б.
Ақтөбе 2018 жыл
Жоспар
I. Кіріспе
II. Негізгі бөлім
1. Дәнекер ұлпасының еритін құрылымдық компоненттері(глюкозаминогликандар, гликопротеиндер) .
2. Коллагеноз кезінде (қартаю, жарақаттың жазылуы және т. б. ) биохимиялық өзгерулер.
3. Дәнекер ұлпасы алмасуының бұзылыстары (оксипролинурия және т. б. ) үшін қан мен несептің биохимиялық зерттеулері.
III. Қорытынды
Гликопротеидтер деген атау « glucos » - тәтті деген сөзден шыққан, олардың құрамында көмірсулар бар. Простетикалық тобы әр түрлі көмірсулардан және олардың туындыларынан түзілген. Олардың арасындағы химиялық байланыстың түрі ковалентті, көмірсупептидті.
![]()
Қазіргі кезде қанның сары суының альбуминдерден басқа барлық белоктардың құрамында аз мөлшерде көмірсулар кездесетіндігі анықталды. Ал гликопротеидтерге құрамындағы көмірсулардың мөлшері 4%-дан артық болғандары ғана жатады. Барлық гликопротеидтердің молекулалық массасы өте үлкен (бірнеше миллион Д), қышқылдық қасиет көрсетеді, суда, сілтінің және нейтрал тұздардың әлсіз ерітінділерінде ериді, қышқылдармен әрекеттескенде тұнбаға түседі, жоғары тұтқырлық қасиеті бар. Гликопротеидтер жоғары температураға, сыртқы ортаның және химиялық әсерлерге төзімді, бұл қасиеттері гликопротеидтердің құрамына кіретін көмірсуларға байланысты. Көмірсулар гликопротеидтерге арнайы ерекше қасиеттер береді, олар құрамындағы көмірсулар арқылы басқа молекулаларды тани алады.
Гликопротеидтер дәнекер тініндегі клеткааралық заттардың құрамында, қан плазмасында, сілекейде және цитозольда, мембраналардың құрамында көп мөлшерде кездеседі. Гликопротеидтердің рөлі сан алуан. Олар гидрофобты заттар мен металл иондарын тасымалдайды; мембрана рецепторларының құрамына кіре отырып, арнайы жанасуды қамтамасыз етеді. Тіндердің жіктелуіне әсерін тигізіп, иммунологиялық реакцияларда маңызы өте зор. Сонымен қатар кілегейлі, шырышты қабаттың құрамына кіре отырып, қорғаныс қызметін атқарады.
Гликопротеидтер құрамындағы көмірсулардың және белоктардың мөлшеріне және сапасына қарай нағыз гликопротеидтер және протеогликандар деп бөлінеді. Гликопротеидтердің мұндай жіктелуі белокты бөлігінің % арақатынасына, простетикалық топ және оның құрылысына негізделіп жасалған.
Нағыз гликопротеидтердің өкілдеріне: муциндер; иммуноглобулиндер; қанның тобын анықтайтын белоктар; гормондар; тасымалдаушы белоктар жатады.
Нағыз гликопротеидтерде белоктың мөлшері шамамен 80%, ал простетикалық топ - шамамен 20%. Простетикалық тобының құрамында түрлі полисахаридтер және олардың амин туындылары, нейраминдер, сиал қышқылдары әр түрлі мөлшерде болады, белгілі бір жүйелілік байқалмайды, яғни жүйесіз көмірсулардан тұрады. Нағыз гликопротеидтер ағзада кең таралып, алуан түрлі қызметтер атқарады:
Муциндер - шырышты белоктарға жатады. Жоғары тұтқырлық қасиеті бар, ол сілекей құрамында болып, тағамды шылауға қатысады. Простетикалық тобының құрамында моносахаридтер, гексозаминдер, сиал және нейрамин қышқылдары бар. Моносахаридтерден муциннің құрамында: глюкоза, галактоза, фрукоза және т. б. кездеседі. Муциннің тұтқырлығы оның құрамындағы сиал қышқылдарының санына байланысты. Муциндер: ас қорыту, зәр шығару, тыныс алу жүйелерінің сілемейлі қабатында ішкі органдарды механикалық, химиялық әсерлерден, құрғап кетуден сақтайды, яғни қорғаныштық қызмет атқарады.
Қан тобын анықтайтын белоктар. Олар химиялық құрамы жағынан нағыз гликопротеидтерге жатады. Бірақ олардан өзгешелігі көмірсулардың мөлшері өте жоғары 85%, ал простетикалық тобының үлесі небәрі 15%. Бұл белоктар антигендік қасиетке ие.
Рецепторлар . Кейбір ферменттер мен гормондар құрамында көмірсулар болғандықтан, олар да гликопротеидтерге жатады. Ондай белоктарға транскортин, гаптоглобин және иммуноглобулиндерді атауға болады.
Гликопротеидтерге муцин мен мукоидтар кіреді, оларды шырышты және шырышқа ұқсас заттар деп атайды. Көптеген патологиялық жағдайларда тіндер мен жасушаларда шырыш істеп шығару үрдісі бұзылады. Асқазан шырышты қабатындағы бездердің тітіркенуі нәтижесінде секреция үрдісі күшейіп асқазанның ішкі қабатын шырышты зат жауып жатады (гиперсекреция) . Егер шырышты заттар тиісті мөлшерден кем пайда болса, олар ылғалдап тұрған шырышты қабықтар құрғап қалады (гипосекреция) . Мысалы, Шегрен синдромында көздің шырышты қабығы құрғап, содан сон ол жер қабынады (кератоконъюнктивит) .
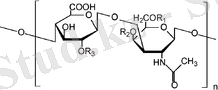
Гликозаминогликандар, мукополисахаридтер - протеогликандардың, полисахаридтердің көмірсу бөлігі, олардың құрамында аминоқушар-гексосаминдер бар . Денеде гликозаминогликандар протеогликандардың белок бөлігіне ковалентпен байланады және еркін түрде табылмайды. Гликозаминогликанның молекулалары уран қышқылдарының қалдықтарынан (D-глюкуроникалық немесе L-iduronic) және күкіртілген және ацетилденген аминоқышқылдардан жасалған қайталанатын бірліктерден тұрады. Осы негізгі моносахарид компоненттерінен басқа, L-фукоза, сиал қышқылдары, D-маннозы және D-ксилозы құрамында кішігірім қант деп аталады. барлығы дерлік косалентті протеогликандардың молекуласындағы ақуызға байланады.
Гликозаминогликандар жеті негізгі түрге бөлінеді. Олардың алтыеуі құрылымдық жағынан ұқсас: олардың полисахаридтік тізбектерінде сульфат аминқышқылдары (N-ацетилглюкозамин және N-ацетилгалактозамин) және гекурон қышқылдары (D-глюкурон немесе L-идурон) қалдықтарының құрамына кіретін дисахаридтік қондырғылар. Олар мыналар:
гиалурон қышқылдары
хондроитин-4-сульфат
хондроитин-6-сульфат
дерматин сульфаты
гепарин
гепаран сульфаты
Жетінші типтегі - кератон сульфаты немесе кератосульфат, дисахаридтерде - урон қышқылының орнына D-галактозасы бар.
ауыспалы дисахарит бірліктерінің саны өте үлкен болуы мүмкін, бұл ретте протеогликандардың молекулалық салмағы кейде бірнеше миллионға жетеді. Түрлі жалпы құрылымы бірдей болғанына қарамастан, олардың белгілі бір ерекшеліктері бар.
Сульфаттар топтары оттегі атомы (O-сульфациясы) немесе азот атомы (N-сульфация) арқылы қосылуы мүмкін.
Протеогликандардың құрамындағы гликозаминогликандар сүйек, синовье сұйықтығы, көзге көрінбейтін денесі мен көздің қабығымен қамтылған дәнекер тінінің жасушааралық заты болып табылады. Коллаген және эластин талшықтарымен бірге протеогликандар дәнекер тін матрицасын (негізгі зат) құрайды. Антикоагулянттық белсенділікке ие гликозаминогликандар - гепариннің өкілдерінің бірі бауыр тіндерінің, өкпе, жүрек, артерия қабырғаларының жасушалық мазмұнында орналасқан. Протеогликандар клеткалардың бетін жабады, ион алмасуында, иммундық реакцияларда, тіндердің дифференциясында маңызды рөл атқарады. ыдырауының генетикалық бұзылулары мұрагерлік метаболикалық аурулардың үлкен тобын - мукополисахаридозды дамытуға әкеледі.
Глюкозамингликандар алмасуының ерекшеліктері
Адам мен жануарлар ағзасында глюкозадан құрылымдық компоненттері синтезделеді, олар глюкурон қышқылы, N-ацетилглюкозамин, сиал қышқылдары және т. б.
СООН СН2ОН
Н Н
ОН
НО НО НО≥==
Н ОН СН3-С =О
Глюкурон қышқылы N-ацетилглюкозамин
СН2 - ОН
СН2 - ОН
СН-ОН
COOH
CH3 - C= O
NH
N-ацетилнейрамин қышқылы
- Іс жүргізу
- Автоматтандыру, Техника
- Алғашқы әскери дайындық
- Астрономия
- Ауыл шаруашылығы
- Банк ісі
- Бизнесті бағалау
- Биология
- Бухгалтерлік іс
- Валеология
- Ветеринария
- География
- Геология, Геофизика, Геодезия
- Дін
- Ет, сүт, шарап өнімдері
- Жалпы тарих
- Жер кадастрі, Жылжымайтын мүлік
- Журналистика
- Информатика
- Кеден ісі
- Маркетинг
- Математика, Геометрия
- Медицина
- Мемлекеттік басқару
- Менеджмент
- Мұнай, Газ
- Мұрағат ісі
- Мәдениеттану
- ОБЖ (Основы безопасности жизнедеятельности)
- Педагогика
- Полиграфия
- Психология
- Салық
- Саясаттану
- Сақтандыру
- Сертификаттау, стандарттау
- Социология, Демография
- Спорт
- Статистика
- Тілтану, Филология
- Тарихи тұлғалар
- Тау-кен ісі
- Транспорт
- Туризм
- Физика
- Философия
- Халықаралық қатынастар
- Химия
- Экология, Қоршаған ортаны қорғау
- Экономика
- Экономикалық география
- Электротехника
- Қазақстан тарихы
- Қаржы
- Құрылыс
- Құқық, Криминалистика
- Әдебиет
- Өнер, музыка
- Өнеркәсіп, Өндіріс
Қазақ тілінде жазылған рефераттар, курстық жұмыстар, дипломдық жұмыстар бойынша біздің қор #1 болып табылады.

Ақпарат
Қосымша
Email: info@stud.kz