Эластичность спроса и предложения: понятия, виды и влияние на торговую выручку

МИНИСТЕРСТВО ОБРАЗОВАНИЯ И НАУКИ РЕСПУБЛИКИ КАЗАХСТАН
Кафедра
РЕФЕРАТ
по теме: Эластичность спроса и предложения
ПринялФ. И. О.
""2005г.
СтудентФ. И. О.
Группа
Специальность
Алматы 2005г.
СОДЕРЖАНИЕ
ВВЕДЕНИЕ . . . 3
1. Эластичность спроса и предложения. Торговая марка…… . . . ……… . . . 4
1. 1. Эластичность…… . . . …… . . . …. 4
1. 2. Показатель ценовой эластичности…. . ………. . 4
1. 3. Варианты эластичности спроса. . . . 4
1. 4. Эластичность предложения товаров . . . . . …. 6
1. 5. Эластичность спроса и предложения . . . 7
1. 5. 1 Эластичность спроса по цене. . ………8
1. 5. 2. Эластичность по доходу. . …. 11
1. 5. 3 Эластичность предложения . . . 12
ЗАКЛЮЧЕНИЕ . . . 14
СПИСОК ЛИТЕРАТУРЫ . . . 15
ВВЕДЕНИЕ
Микроэкономика - это экономика поведения отдельных предприятий. Она изучает конкретных видов рынка, например, исследование взаимодействия потребностей и деятельности человека позволяет формировать программы научно-технического и социально-экономического развития, в основе которого лежат потребности, а не закономерности материального производства. Так, в принципе, реализуется новая парадигма развития цивилизации. Таким образом, могут реализоваться ожидания (оценки будущего с учетом возможности их реализации) и цели (прообраз необходимых результатов) . Ожидания и цели достигаются посредством создания адекватных условий и стимулов человеческой деятельности.
Понятие эластичности предложения товаров характеризует относительные изменения цен товаров и их количества, предлагаемого к продаже. Ценовая эластичность предложения выступает как прямая линейная зависимость между экономическими переменными, показывающими процентное изменение цены и вызываемое им то или иное процентное изменение объема предлагаемых к продаже товаров.
Измерения спроса и предложения выступает важным инструментом экономического анализа, и имеют практический смысл, так как оказывают непосредственное влияние на торговую выручку от продаж товаров. Как уже отмечалось, повышение цен товаров вызывает снижение объема их продаж, и наоборот. Интенсивность такого влияния может быть неодинаковой, несоизмеримы и интервалы изменения каждой переменной, т. е. цен и объемов продаж.
1. ЭЛАСТИЧНОСТЬ СПРОСА И ПРЕДЛОЖЕНИЯ. ТОРГОВАЯ ВЫРУЧКА
1. 1. Эластичность
Термин «эластичность», пришедший в экономику из физики, используется для измерения соотношения взаимообслуживающихся переменных: цен и количества, или объема, проданных товаров.
Наиболее удобной, унифицированной единицей измерения эластичности выступает процент. Процентное исчисление способно показать степень изменения любой экономической переменной, независимо от того, какими были исходные единицы измерения - в деньгах, в тоннах, метрах, штуках и т. д. В предпринимательской практике чаще всего используют процентное изменение одной переменной в результате 1%-ного изменения другой.
1. 2. Показатель ценовой эластичности
Измерение ценовой эластичности спроса осуществляет для того, чтобы выяснить, на сколько процентов изменился объем продаж товаров вследствие 1%-ного изменения цены за единицу данных товаров. Методика такого измерения роста и представляет собой определение частного от деления процентного изменения величины спроса на 1% изменения цены. Представить это можно следующим образом:
где, Эр - ценовая эластичность спроса.
1. 3. Варианты эластичности спроса
В практике могут иметь место по меньшей мере пять различных вариантов ценовой эластичности спроса:
- спрос эластичный, когда при незначительных повышениях цены объем продаж существенно возрастает;
- спрос имеет единичную эластичность, когда 1%-ное изменение цены вызывает 1%-ное изменение продаж товаров;
- спрос неэластичен, если при весьма существенных снижениях цены объем продаж изменяется незначительно;
- спрос бесконечно эластичен, когда имеется только одна цена, по которой потребители покупают товар (например, инсулин для больных диабетом) ;
- спрос совершенно нёэластичен, когда потребители приобретают фиксированное количество товаров, независимо от его цены. Все варианты эластичности спроса могут быть показаны на графиках (рис. 1. 1. ) .
Рис. 1. 1. Эластичность спроса
Каждый вариант, представленный на рис. 1. 1., имеет свой коэффициент эластичности:
- коэффициент неэластичного спроса меньше единицы;
- при эластичном спросе, когда 1% снижения цены вызывает увеличение продаж более чем на 1%, коэффициент эластичности больше единицы;
- наконец, при единичной эластичности коэффициент равен единице.
Например, если увеличение цены товара на 100 % приводит к сокращению продаж на 50 %, то эластичность спроса равна 50 %, поделив которые на 100 %, получаем коэффициент 0, 5.
В строго математическом смысле этот коэффициент со знаком «минус», так как цена и количество продаж изменяются в противоположном направлении (обратная зависимость переменных) . Но для простоты анализа коэффициент эластичности рассматривается как положительная величина, тем более что реальную значимость эта величина приобретает в показателе объема выручки от продаж товаров, т. е. денежной торговой выручки.
Следовательно, когда процент снижения цены вызывает такое увеличение процента продаж, что общая торговая выручка (произведение цены на количество проданного товара) возрастает, то эластичность спроса приобретает практический смысл положительно го коэффициента.
При единичной эластичности, когда коэффициент равен единице, снижение цены в точности компенсируется таким объемом продаж, который не меняет торговую выручку.
В случае не эластичного спроса снижение цены вызывает настоль ко незначительное увеличение продаж товара, что общая торговая выручка снижается.
1. 4. Эластичность предложения товаров
Применимы ли понятия «эластичность» и «коэффициент эластичности» к предложению то варов? да, применимы.
Понятие эластичности предложения товаров характеризует относительные изменения цен товаров и их количества, предлагаемого к продаже. Интенсивность этих изменений также различна, и на практике могут иметь место следующие ситуации:
- эластичность предложения;
- предложения единичной эластичности;
- неэластичного предложения.
Ценовая эластичность предложения выступает как прямая линейная зависимость между экономическими переменными, показывающими процентное изменение цены и вызываемое им то или иное процентное изменение объема предлагаемых к продаже товаров. Эти зависимости обусловливают положение кривых эластичности предложения, изображенных на рис. 1. 2.
При единичной эластичности предложения 1% увеличения цены товаров вызывает 1% увеличения их предложения для продажи на рынке.
В этом случае имеет место равновеликое изменение цен и количества
предлагаемых товаров, коэффициент, которого равен единице.
В случае эластичного предложения, 1 % увеличения цены способен вызвать увеличение количества предлагаемого к продаже товара, значительно превышающее %. Коэффициент эластичности здесь больше единицы.
Рис. 1. 2. Эластичность предложения
При неэластичном предложении увеличение цены не оказывает какого-либо влияния на увеличение количества предлагаемых к продаже товаров.
Теоретически можно предусмотреть и другой крайний случай: бесконечно эластичное предложение, которое на графике имеет вид абсолютной горизонтальной линии. Бесконечно эластичное предложение - это увеличение поставок товаров на рынок при крайне не значительном увеличении цен на эти товары.
Показатели эластичности предложения подтверждают весьма важную закономерность: в течение длительного, периода времени, когда спрос уже приспособился к возросшей цене, эластичность предложения способствует установлению так называемой нормальной цены равновесия (в отличие от цен мгновенного и краткосрочного равновесия)
1. 5. Эластичность спроса и предложения
Ранее рассмотрены направления изменения равновесных значений цены Ра и продукции Qa в случае сдвига кривых D и S. Сдвиг кривой S вправо снижает равновесную цену Ра и увеличивает Qa (рис. 1. 3) .
Рис. 1. 3. Установление новой рыночной цены продукции
Однако производителей продукции интересуют, на какую величину изменится Qa при изменении Ра. Определение производится через эластичность спроса и эластичность предложения. Вычисляется влияние одной переменной величины на изменения другой - процентное изменение одной переменной величины в результате однопроцентного изменения другой переменной. Различают эластичность спроса по цене и доходу.
Рис. 1. 4. Динамика предложения и спроса при одновременно существующем инфляции и безработице
1. 5. 1. Эластичность спроса по цене
Эластичность спроса по цене показывает степень воздействия изменения цены на изменение количества продукции, на которую предъявляется спрос, иначе эта чувствительность реагирования спроса на изменение цены продукции. Эластичность спроса по цене Ed определяют отношением процентного изменения количества продукции, на которую предъявлен спрос, к процентному изменению в цене.
где, ∆Q - приращение продукции, т;
∆P - изменение цены тенге;
Q - объем продукции, т;
P - цена продукции, тенге;
∆Q/Q - относительное изменение объема продукции;
∆P/P - относительное изменение цены.
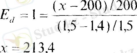
Эластичность спроса по цене определяется величиной Ed. Если Ed>1, то спрос эластичен по цене. Если Ed=1, то эластичность по цене равна единице.
Пример. На рынке за месяц реализуется 200 т продукции по цене 1, 5 тенге. Чтобы увеличить свой доход, решено снизить цену до 1 тенге и реализовать 240 т. продукции. Правильно ли принято решение?
Решение. Эластичность спроса по цене равна
Так как Еd<1, то спрос не эластичен. Это означает, что со снижением цены доход у товаропроизводителя не увеличится даже при большой реализации продукции.
Определим сколько продукции нужно реализовать, чтобы эластичность была равна единице (Еd=1) .
Дополнительная продукция составит:
∆Q=213, 4 -200=13, 4 т.
Можно решать задачу, по какой цене нужно продавать продукцию предприятия, если скопилось 400 т продукции с эластичностью, равной Еd=2.
Предприятие может, сохраняя предыдущую выручку 1, 5*200=300 тенге, приступить к реализации 400 т. продукции по цене Р = 1 тенге, и при этом эластичность будет равна Еd=2.
По значению эластичности можно определить доходность от снижения цены и увеличения реализации продукции.
Эластичность спроса по цене зависит от ряда факторов. На спрос на данную продукцию повлияют заменители. Если имеется широкий выбор заменителей продукции, то снижение цены на данную продукцию при постоянстве цены на заменители вызовет эластичный спрос по цене на данную продукцию, и наоборот, продукция, не имеющая приемлемых заменителей, обладает эластичным спросом по цене.
Например. В США эластичность спроса по цене составляет на топливо -0, 6; па электроэнергию - 1, 3.
Эти данные показывают, что топливо не имеет заменителей, поэтому эластичность ниже единицы. Снижение цены на электроэнергию вызовет большой спрос потребителей и эластичность спроса по цене электроэнергии выше единицы и равна 1, 3.
Поскольку спрос на продукцию описывается всей кривой спроса, то эластичность спроса по цене будет определяться конфигурацией кривой спроса D (рис. 1. 5. а, 1. 5. б) . Кривая D2 имеет более отлогую форму, чем кривая D1. Одно и то же снижение цены в случае D1 дает меньше приращение Q, чем в случае D2. Кривая D2 более эластична, чем кривая D1 (рис. 1. 5. ) .
Рис. 1. 5. Определение эластичности спроса продукции по цене
1. 5. 2. Эластичность по доходу
Увеличение дохода воздействует на спрос в услугах и спрос на продукцию производства. Появляется необходимость определения эластичности спроса по доходу. Эластичность спроса по доходу (Еj) исчисляется как отношение процентного изменения количества продукции, на которую предъявляется спрос, к процентному изменению дохода по формуле
где, ∆Q - приращение продукции, т;
Q - объем продукции, т;
∆J - приращение дохода, тенге;
J - доход от продукции, тенге;
∆Q/Q - относительное изменение объема продукции;
∆J/J - относительно изменение дохода.
Эластичность спроса по доходу падает на продукцию низ кого качества и повышается на качественную продукцию.
Методика расчета эластичности спроса по доходу аналогична вышеприведенной методике расчета эластичности спроса по цене.
1. 5. 3. Эластичность предложения
Эластичность предложения характеризует чувствительность предложения на изменение цены товара. предложения (Еs) исчисляется по формуле
где, ∆Q/Q - процентное изменение количества предложенного товара;
∆Р/Р - процентное изменение цены.
Эластичность предложения определяется величиной Еs. Если Еs>1, то предложение эластично. Если Еs<1, то предложение неэластично. Эластичность предложения зависит от ряда факторов:
... продолжение- Информатика
- Банковское дело
- Оценка бизнеса
- Бухгалтерское дело
- Валеология
- География
- Геология, Геофизика, Геодезия
- Религия
- Общая история
- Журналистика
- Таможенное дело
- История Казахстана
- Финансы
- Законодательство и Право, Криминалистика
- Маркетинг
- Культурология
- Медицина
- Менеджмент
- Нефть, Газ
- Искуство, музыка
- Педагогика
- Психология
- Страхование
- Налоги
- Политология
- Сертификация, стандартизация
- Социология, Демография
- Статистика
- Туризм
- Физика
- Философия
- Химия
- Делопроизводсто
- Экология, Охрана природы, Природопользование
- Экономика
- Литература
- Биология
- Мясо, молочно, вино-водочные продукты
- Земельный кадастр, Недвижимость
- Математика, Геометрия
- Государственное управление
- Архивное дело
- Полиграфия
- Горное дело
- Языковедение, Филология
- Исторические личности
- Автоматизация, Техника
- Экономическая география
- Международные отношения
- ОБЖ (Основы безопасности жизнедеятельности), Защита труда
