"Санның бөлігін табу"

Асқарбекова Балымкүл Дайрашқызы
Астана қаласы. Райымбек батыр атындағы №50 «Қазғарыш» мектеп-лицейінің математика пәні мұғалімі
Жас кезіңде алған білім,
Тасқа жазған жазумен тең.
Есейгенде алған білім,
Құмға жазған жазумен тең.
Сабақтың тақырыбы: Санның бөлігін табу
Сабақтың мақсаты:
- Білімділігі: Санның бөлігін табу ережесін білу.
- Дамытушылық: Ережелерді есептер шығару барысында қолдана білу дағдысын қалыптастыру.
- Тәрбиелілігі: Аралас сан, жай бөлшекті жазу колографиясын қадағалау, таза, көркем жазуға тәрбиелеу.
Сабақтың көрнекілігі : парақшалар, интерактивті тақта, ДК.
Сабақтың типі: Білім мен дағдысын қалыптастыру
Сабақтың түрі: іздендіру сабағы
Сабақтың барысы:
- Ұйымдастыру кезеңі
- Үй тапсырмасын тексеру (Математикалық диктант )
Математикалық диктант
Математикалық диктант жауабы:
Бағалау шкаласы : «5»-5
«4»-4
«3»-3
«2, 1»-2
- Жаңа сабақты түсіндіру. (Іздендіру кезеңі)
Санның бөлігін табу
Есеп: Математика кабинетінің еденінің ауданы 36 м 2 . Еденнің
-інде парталар орналасқан. Парталар орналасқан еденнің ауданын табыңыз.
S еден = 36м 2
Парта-
-бөлігі
S парта = ?
Шешуі: S парта = 36 *
=20 м 2
Анықтама: Санның бөлігін табу үшін санды осы бөлшекке көбейту керек.
1-мысал:
санының бөлігін табайық.
![]()
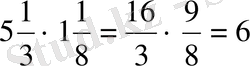
2-мысал:
санының
бөлігін табайық.
![]()
- Есептер шығару (Дамыту кезеңі)
- Оқулықтан: № 813, 814, 815 есептерді орындайды.
- Кеспе парақшалар таратылады.
КЕСПЕ
Есептің кестедегі жауаптарымен бір бағанға оның тұсындағы әріптерді қойыңдар. Сонда сендер қазақтың ұлы математигінің атын оқи аласыздар.
С. 8 метрдің
бөлігін тап Қ.
А.
Р.
![]()





- Шығармашылық жұмыс: «Дарынды дарабозды анықтау»
Амалды орында:
![]()
- Бекіту.
Есеп: Наурыз мерекесіне арнап мектеп 48 кг торт дайындады. Оның
бөлігі бастауыш сынып оқушыларына берілді. Бастауыш сынып оқушыларына неше кг торт бөлінді?
Торт-48 кг.
Бастауыш-
бөлігі
Бастауыш - ? Кг
Шешуі:
кг.
- Үйге тапсырма: №816, 817, 818, 819, 820
- Бағалау.
КЕСПЕ
Есептің кестедегі жауаптарымен бір бағанға оның тұсындағы әріптерді қойыңдар. Сонда сендер қазақтың ұлы математигінің атын оқи аласыздар.
С. 8 метрдің
бөлігін тап Қ.
А.
Р.
![]()





КЕСПЕ
Есептің кестедегі жауаптарымен бір бағанға оның тұсындағы әріптерді қойыңдар. Сонда сендер қазақтың ұлы математигінің атын оқи аласыздар.
С. 8 метрдің
бөлігін тап Қ.
А.
Р.
![]()





КЕСПЕ
Есептің кестедегі жауаптарымен бір бағанға оның тұсындағы әріптерді қойыңдар. Сонда сендер қазақтың ұлы математигінің атын оқи аласыздар.
С. 8 метрдің
бөлігін тап Қ.
А.
Р.
![]()





Шығармашылық жұмыс: «Дарынды дарабозды анықтау»
Амалды орында:
![]()
Шығармашылық жұмыс: «Дарынды дарабозды анықтау»
Амалды орында:
Шығармашылық жұмыс: «Дарынды дарабозды анықтау»
Амалды орында:
Шығармашылық жұмыс: «Дарынды дарабозды анықтау»
Амалды орында:
Шығармашылық жұмыс: «Дарынды дарабозды анықтау»
Амалды орында:
- Іс жүргізу
- Автоматтандыру, Техника
- Алғашқы әскери дайындық
- Астрономия
- Ауыл шаруашылығы
- Банк ісі
- Бизнесті бағалау
- Биология
- Бухгалтерлік іс
- Валеология
- Ветеринария
- География
- Геология, Геофизика, Геодезия
- Дін
- Ет, сүт, шарап өнімдері
- Жалпы тарих
- Жер кадастрі, Жылжымайтын мүлік
- Журналистика
- Информатика
- Кеден ісі
- Маркетинг
- Математика, Геометрия
- Медицина
- Мемлекеттік басқару
- Менеджмент
- Мұнай, Газ
- Мұрағат ісі
- Мәдениеттану
- ОБЖ (Основы безопасности жизнедеятельности)
- Педагогика
- Полиграфия
- Психология
- Салық
- Саясаттану
- Сақтандыру
- Сертификаттау, стандарттау
- Социология, Демография
- Спорт
- Статистика
- Тілтану, Филология
- Тарихи тұлғалар
- Тау-кен ісі
- Транспорт
- Туризм
- Физика
- Философия
- Халықаралық қатынастар
- Химия
- Экология, Қоршаған ортаны қорғау
- Экономика
- Экономикалық география
- Электротехника
- Қазақстан тарихы
- Қаржы
- Құрылыс
- Құқық, Криминалистика
- Әдебиет
- Өнер, музыка
- Өнеркәсіп, Өндіріс
Қазақ тілінде жазылған рефераттар, курстық жұмыстар, дипломдық жұмыстар бойынша біздің қор #1 болып табылады.

Ақпарат
Қосымша
Email: info@stud.kz