Электростатиканың негізгі заңы – кулон заңы

Жұмабекова Хадиша
Шымкент қаласы Циолковский
атындағы №84 орта мектебінің
физика пәнінің мұғалімі
Сабақтың тақырыбы: Электростатиканың негізгі заңы - Кулон заңы
Сабақтың мақсаты: білімділік: Бір-біріне қатысты алғанда қозғалмайтын электр зарядтарының өзара әсерлесуін зерттеу және олар бағынатын заңды оқып үйрену.
Дамытушылық: Әрбір жеке тұлғаның ақыл-ойының дамуын, шығармашы-лық даму мүмкіндігіне жағдай жасау.
Тәрбиелік: Оқушыны алғырлыққа, жауапкершілікке, саналылыққа тәрбиелеу.
Сабақтың көрнекілігі: электрометр, таяқшалар (шыны, эбонит), жүн, жібек маталар.
Сабақтың барысы:
І. Үйге берілген тапсырманы сұрау.
а) Заряд дегеніміз не?
б) Денелер қалай зарядталады?
в) Денелердің зарядталғанын алғаш байқаған кім?
г) Зарядтардың неше тегі болады?
д) Зарядтардың пайда болу құбылысын қалай түсіндіреміз?
з) Электр зарядтың шамасы неге тең?
e = 1, 6·10 -19 Кл.
и) Заряды бар бөлшектер қалай әсерлеседі? Бұл әсерлесу қалай аталады?
Мына сұрақтарға түсінік беріңдер.
1. А және В зарядтарына В В
әсер ететін электр +0 0-
күштерінің шамасын және бағыттарын салыстырыңдар.
2. Неге жауынгерге нөсер кезінде жерлестірілмеген көшпелі радиостанциямен жұмыс істеуге тиым салынады?
3. Гелий атомы барлық электрондарынан айырылған. Бұл қалай аталады? Заряды қалай?
4. Ағаш арқылы өтетін найзағай бағытын өзгертіп астына тығылмақ болған адам арқылы өтеді. Неге?
* Үсті су, жалаңаяқ адам бұл жағдайды электр тізбегінің ең аз кедергісі бар бөлігі болып табылады.
5. Ескі қолжазбалар мен кітаптарды электрлеу әдісі арқылы білдірмей оқуға, реставрация жасауға болады. Неге?
* Кітаптың барлық беттері бірдей зарядталып бір-бірінен тебіліп оңай ажыратылады. Сондықтан олар жыртылмайды және сынбайды.
м) Зарядтардың тепе-теңдігі дегеніміз не? Электр зарядының сақталу заңы қалай тұжырымдалады?
к) Электр құбылыстарына байланысты сұрақтар.
Жаңа сабақ
1. Тыныштықтағы екі нүктелік зарядталған денелердің өзара әсерлесуі. ХVIII-ғасырдың ортасында зарядтардың өзара әсерлесу заңы бүкіл әлемдік заңға ұқсас деген пікірлер туа бастады. Осы пікірдің дұрыстығын 1785 жылы француз ғалымы Ш. Кулон дәлелдеді.
Мысалы:
m 1 m 2 q1 q2
F
F
G = 6, 67· 10
-11
R =
Eo = 8, 85 · 10
-12
R = 9 · 10
9
2. Кулон тәжірибесі
Өте сезімтал айнымалы таразы алып, сол арқылы зарядталған шаралардың қалай әсерлесетінін анықтады.
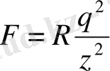
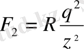
3. Кулон заңы. Электр зарядының бірлігі.
Зарядтардың өзара әсерлесуіне ортаның тигізетін әсерін бақылау үшін орта жақ жердегі F o мен орта бар жердегі F-і салыстыру керек.
диэлектрлік өтімділік.
q [Кл] Δq = J Δ t
4. Зарядталған денелердің әсерлесуі.
F 1. 2 F 2. 1 F 1. 2 = - F 2. 1
q 1 q 2
Есептер шығару.
№678
Бер: F = R
J =
q
1
= 1 · 10
-6
Кл J = R
q 2 = 10 · 10 -9 Кл
F = 9 · 10 -3 Н
J - ? J =
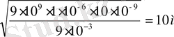
№681
Бер:
J = 10 см = 0, 1 м
Equation. 3
F = 0, 23·10
-3
Н=
=23·10 -5
n - ?
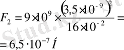
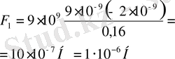
№7(4)
Бер:
J = 40 см = 0, 4 м
q 1 = 9 · 10 -9 Кл
q
2
= -2 · 10
-9
Кл
F 1 -? F 2 -?
Қорытынды: Зарядталған денелердің әсерлесу күші зарядтардың көбейтін-дісіне тура пропорционал, ара қашықтықтың квадратына кері пропорционал.
Үйге: §35, 36 №7(1-3) №667
Бағалау.
Физикалық ойлау элементтері.
Өтілген физикалық Есеп шығару
құбылысты талдай әдістеріне нұсқау
білу.
Негізгі ұғымдарды 1) талданып отырған
тере білу. құбылыстың негізі болып
теорияларды білу.
Проблема құру. 2) физикалық шамалардың
әріптік белгіленуі.
Сабақ айтуға 3) физикалық шамалардың
жоспар құру анықтамаларын, өлшем
бірліктерін білу.
4) белгілі формулаларды
қолданып есептерді шығару.
- Іс жүргізу
- Автоматтандыру, Техника
- Алғашқы әскери дайындық
- Астрономия
- Ауыл шаруашылығы
- Банк ісі
- Бизнесті бағалау
- Биология
- Бухгалтерлік іс
- Валеология
- Ветеринария
- География
- Геология, Геофизика, Геодезия
- Дін
- Ет, сүт, шарап өнімдері
- Жалпы тарих
- Жер кадастрі, Жылжымайтын мүлік
- Журналистика
- Информатика
- Кеден ісі
- Маркетинг
- Математика, Геометрия
- Медицина
- Мемлекеттік басқару
- Менеджмент
- Мұнай, Газ
- Мұрағат ісі
- Мәдениеттану
- ОБЖ (Основы безопасности жизнедеятельности)
- Педагогика
- Полиграфия
- Психология
- Салық
- Саясаттану
- Сақтандыру
- Сертификаттау, стандарттау
- Социология, Демография
- Спорт
- Статистика
- Тілтану, Филология
- Тарихи тұлғалар
- Тау-кен ісі
- Транспорт
- Туризм
- Физика
- Философия
- Халықаралық қатынастар
- Химия
- Экология, Қоршаған ортаны қорғау
- Экономика
- Экономикалық география
- Электротехника
- Қазақстан тарихы
- Қаржы
- Құрылыс
- Құқық, Криминалистика
- Әдебиет
- Өнер, музыка
- Өнеркәсіп, Өндіріс
Қазақ тілінде жазылған рефераттар, курстық жұмыстар, дипломдық жұмыстар бойынша біздің қор #1 болып табылады.

Ақпарат
Қосымша
Email: info@stud.kz