Рационал бөлшектерді көбейту және бөлу Рационал бөлшектерді көбейту және бөлу алгоритмін қолдана білуге, қасиеттерді білуге үйрету

Сабақтың тақырыбы: «Рационал бөлшектерді көбейту және бөлу »
Сабақтың мақсаты:
а) Рационал бөлшектерді көбейту және бөлу алгоритмін қолдана білуге, қасиеттерді білуге үйрету.
ә) Есеп шығару дағдысын қалыптастыру, ережелерді тиімді қолдана білуді меңгерту, есеп шығаруда ойлау, ауызша есептеу, ой қорыту қабілеттерін дамыту.
б) Жауапкершілікке, жүйелі ойлауға, нәтижеге қол жеткізе білуге, өзіне сенімділікке, жолдастық қарым-қатынасқа тәрбиелеу.
Құрал-жабдықтар, көрнекі құралдар: Интерактивті тақта, кітап, дәптер.
Әдіс-тәсілдер: есептер шығару, тест.
Сабақ жоспары:
- Ұйымдастыру кезеңі
- Үй тапсырмасын тексеру
- Оқулықпен жұмыс
- Ойла да тап
- Сергіту сәті
- МАБ-қа дайындық
- Үйге тапсырма
- Қорытындылау
- Бағалау
Сабақ барысы:
- Ұйымдастыру кезеңі:
Сыныппен амандасып, кезекшінің көмегімен оқушыларды түгендеу.
Слайд-2: бүгінгі сабақтың барысымен таныстыру: оқулықпен жұмыс,
МАБ есептері(тест), Ойлан да тап, Қорытынды.
- Үй тапсырмасын тексеру кезеңі:
Слайд-3: Алдын-ала даярлық тапсырмасы. Оқушыларды орнынан тұрғызып оқытып тексеру.
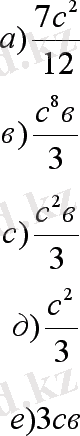
№270 (5, 6, 7, 8) ; №271 (1, 2)
5)
6)
7)
8)
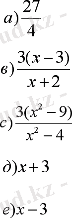
1)
2)
1) Рационал бөлшектерді көбейту ережесі қалай тұжырымдалады?
2) Рационал бөлшектерді бөлу үшін қандай алгоритмді қолданамыз?
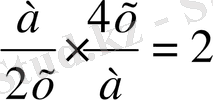
3) Ойланайық (ауызша есептер)
1)
2)
3)
4)
5)
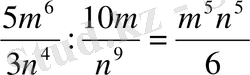
- Оқулықпен жұмыс:
Слайд-5: Кітаптің 101 бетіндегі №273 (6, 7, 8) жаттығуды шығарамыз.
Келесі, осы беттегі №275 (3, 7) жаттығуды шығарамыз.
- Ойлан да тап:
Слайд-6:
1)
2)
3)
4)
5. Сергіту сәті: Логикалық есептер арқылы оқушыларды сергіту.
Слайд-7:
- Стол басында 2 әке, 2 бала отыр. Олар үш адамға тамақ алды. Бұл қалай?
- Ыдыста 8 бауырсақ бар еді. Сегіз балаға бір-бірден бергенде ыдыста 1 бауырсақ қалды. Бұл қалай?
- 2 мен 3 арасына қандай таңбаны қойғанда, 2-ден артық 3-тен кем сан шығады?
6. МАБ-қа дайындық (тест) :
Слайд-8:
1)
2)
3)
Слайд-9: Тесттің жауабын тексерейік.
1) е 2) в 3) с
- Үйге тапсырма:
Слайд-9: №273 (4, 5), №275 (1, 5)
8. Қорытындылау:
Слайд-10:
Рационал бөлшектерді көбейту алгоритмі:
Рационал бөлшектерді көбейту үшін, олардың алымдарының көбейтіндісін алымына, ал бөлімдерінің көбейтіндісін бөліміне жазу керек. Мүмкін болған жағдайда қысқартуды орындаймыз.
Рационал бөлшектерді бөлу алгоритмі:
Рационал бөлшектерді бөлу үшін екінші бөлшекті кері бөлшекке айналдырып бірінші бөлшекке көбейті керек.
9. Бағалау.
Сабақ аяқталды. Көңіл бөлгендеріңізге рахмет. Сау болыңдар!
- Іс жүргізу
- Автоматтандыру, Техника
- Алғашқы әскери дайындық
- Астрономия
- Ауыл шаруашылығы
- Банк ісі
- Бизнесті бағалау
- Биология
- Бухгалтерлік іс
- Валеология
- Ветеринария
- География
- Геология, Геофизика, Геодезия
- Дін
- Ет, сүт, шарап өнімдері
- Жалпы тарих
- Жер кадастрі, Жылжымайтын мүлік
- Журналистика
- Информатика
- Кеден ісі
- Маркетинг
- Математика, Геометрия
- Медицина
- Мемлекеттік басқару
- Менеджмент
- Мұнай, Газ
- Мұрағат ісі
- Мәдениеттану
- ОБЖ (Основы безопасности жизнедеятельности)
- Педагогика
- Полиграфия
- Психология
- Салық
- Саясаттану
- Сақтандыру
- Сертификаттау, стандарттау
- Социология, Демография
- Спорт
- Статистика
- Тілтану, Филология
- Тарихи тұлғалар
- Тау-кен ісі
- Транспорт
- Туризм
- Физика
- Философия
- Халықаралық қатынастар
- Химия
- Экология, Қоршаған ортаны қорғау
- Экономика
- Экономикалық география
- Электротехника
- Қазақстан тарихы
- Қаржы
- Құрылыс
- Құқық, Криминалистика
- Әдебиет
- Өнер, музыка
- Өнеркәсіп, Өндіріс
Қазақ тілінде жазылған рефераттар, курстық жұмыстар, дипломдық жұмыстар бойынша біздің қор #1 болып табылады.

Ақпарат
Қосымша
Email: info@stud.kz