Квадрат үшмүшені көбейткіштерге жіктеуге есептер шығару

Барлық оқушылар: Оқушылардың барлығы Тікбұрышты үшбұрыштарды шешудің түрлері туралы мәлімет алады квадрат үшмүшені көбейткіштерге жіктеу формуласы туралы мәлімет алады үшбұрышТікбұрышты үшбұрыштарды шешудің түрлері туралы мәлімет алады Тікбұрышты үшбұрыштарды шешудің түрлері туралы мәлімет алады Тікбұрышты үшбұрыштарды шешудің түрлері туралы мәлімет алады Тікбұрышты үшбұрыштарды шешудің түрлері туралы мәлімет алады Тікбұрышты үшбұрыштарды шешудің түрлері туралы мәлімет алады .
Оқушылардың басым көпшілігі: оқушылардың 60 пайызы 20 минуттың ішінде квадрат үшмүшені көбейткіштерге жіктеу формуласын біледі және бөлшекті қысқартуда қолданады.
Жекелеген оқушылар : 40 пайыз оқушы 20 минут уақыт ішінде квадрат үшмүшені көбейткіштерге жіктеу формуласын меңгеріп, квадрат үшмүшенің ең үлкен және ең кіші мәнін табуда қолдануды үйренеді.
Барлық оқушылар «квадрат үшмүше» ұғымымен танысып, квадрат үшмүшенің түбірлері туралы мәлімет алады үшбұрышТікбұрышты үшбұрыштарды шешудің түрлері туралы мәлімет алады Тікбұрышты үшбұрыштарды шешудің түрлері туралы мәлімет алады Тікбұрышты үшбұрыштарды шешудің түрлері туралы мәлімет алады Тікбұрышты үшбұрыштарды шешудің түрлері туралы мәлімет алады Тікбұрышты үшбұрыштарды шешудің түрлері туралы мәлімет алады .
Негізгі сөздер мен тіркестер: квадрат үшмүше, квадрат үшмүшені көбейткіштерге жіктеу формуласы.
Берілген тірек сөздерді квадрат үшмүше, квадрат үшмүшені көбейткіштерге жіктеу формуласын есептер шығаруда қолданады.
1. Оқушылар арасында жағым-ды ахуал орнату мақсатында «Сиқырлы қағаз» тренингін өткізу.
Балалар математика сабағын жақсы оқу үшін сендерге не кедергі болатынын стикерге жазамыз.
2. Топтастыру
Оқушылар өздерінің жағымсыз қасиеттерін жазады.
2топқа бөлінеді:
1-топ. Квадрат
2-топ. Үшмүше
«Қатесін тап?» ойыны арқылы оқушылардан үй тапсырмасын сұрау. Интербелсенді тақтада есептің шешімі беріледі, оқушылар есептің қатесін түзетеді.
№230
Оқушылар жеке-жеке жауап береді. Әр топтан 1 оқушы тақтада орындайды.
№232


1. Квадрат үшмүше анықтамасын айтыңдар.
2. Квадрат түбірі дегеніміз не?
3. Оны қалай табамыз?
4. Квадрат үшмншені көбейткіштерге жіктеу деген не?
5. Кесте беріледі. .
1. Оқушылар сұрақтарға жауап береді.
2. Кесте толтырады.
Квадрат үшмүшені көбейткіштерге жіктеуге есептер шығару.
Өткен сабаққа шолу жасалады, мысал есеп көрсетіледі.
1. «Оқулықпен жұмыс» (5 мин)
№237. Бөлшекті қысқартыңдар.
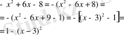
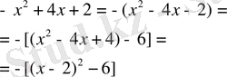
Мысал есеп көрсетіледі.
4-мысал.
Ең үлкеен мәні: 3
1-топ. №237 (1)
2-топ. №237 (2)
1-топ. №238 (1)
Ең кіші мәні: 3.
2-топ. №238 (2)
Ең үлкен мәні: 6
Оқулық,
стикер, смайлик, түрлі-түсті бояу, үлестірме қағаз
«Сандық мақал-мәтелдер»
- Алтау ала болса ауыздағы кетеді, төртеу түгел болса төбедегі жетеді.
- Жігіт сегіз қырлы, бір сырлы.
- Жеті жұрттың тілін біл, жеті түрлі білім ал.
- Білімді мыңды жығады, білекті бірді жығады.
- Ұлға отыз үйден, қызға қырық үйден тыю.
- Бір тал кессең, он тал ек.
Жауаптары:
1-топ:
- х2-14х + 49
- х2-11х + 10
- х2-70х + 1200
2-топ:
- х2-10х +24
- х2-1001х +1000
- х2-9х +8
«Ғажайыптар алаңы»
Квадрат үшмүше түбірлерін тап.
1-топ:
I топ:
Жауабы: Үшмүше
2-топ:
Жауабы:
- Іс жүргізу
- Автоматтандыру, Техника
- Алғашқы әскери дайындық
- Астрономия
- Ауыл шаруашылығы
- Банк ісі
- Бизнесті бағалау
- Биология
- Бухгалтерлік іс
- Валеология
- Ветеринария
- География
- Геология, Геофизика, Геодезия
- Дін
- Ет, сүт, шарап өнімдері
- Жалпы тарих
- Жер кадастрі, Жылжымайтын мүлік
- Журналистика
- Информатика
- Кеден ісі
- Маркетинг
- Математика, Геометрия
- Медицина
- Мемлекеттік басқару
- Менеджмент
- Мұнай, Газ
- Мұрағат ісі
- Мәдениеттану
- ОБЖ (Основы безопасности жизнедеятельности)
- Педагогика
- Полиграфия
- Психология
- Салық
- Саясаттану
- Сақтандыру
- Сертификаттау, стандарттау
- Социология, Демография
- Спорт
- Статистика
- Тілтану, Филология
- Тарихи тұлғалар
- Тау-кен ісі
- Транспорт
- Туризм
- Физика
- Философия
- Халықаралық қатынастар
- Химия
- Экология, Қоршаған ортаны қорғау
- Экономика
- Экономикалық география
- Электротехника
- Қазақстан тарихы
- Қаржы
- Құрылыс
- Құқық, Криминалистика
- Әдебиет
- Өнер, музыка
- Өнеркәсіп, Өндіріс
Қазақ тілінде жазылған рефераттар, курстық жұмыстар, дипломдық жұмыстар бойынша біздің қор #1 болып табылады.

Ақпарат
Қосымша
Email: info@stud.kz