Шарттарды ұйымдастыру операторлары

Убабаева Балнур Толеубаевна
Информатика пәнінің мұғалімі
Павлодар облысы, Екібастұз қаласы, Төртүй ауылы.
Екібастұз жалпы орта білім беретін мектеп
Электронды пошта: balnura. 90@mail. ru
Сынып: 9
Сабақтың тақырыбы: Шарттарды ұйымдастыру операторлары.
Сабақтың мақсаты:
Білімділік: Шарт, шарт арқылы тармақтау және таңдау операторларының жазылу тәртібімен таныстыру, тармақтаушы алгоритмдерге программа жазу жолдарын көрсету;
Дамытушылық: Программалау ұғымын дамыту;
Тәрбиелік: Ойлау, жоспарлау және әрекет ету жүйеліне тәрбиелеу.
Көрнекілігі:
Сабақ жоспарын экранда проекциялау, мульт. мед. жабдықтар, (кестелер), презентация, компьютер, оқулық, жұмыс дәптері, тест-программа.
Сабақтың барысы
І. Кіріспе. (2мин)
- Оқушыларды түгелдеу, сынып бөлмесі, тақта тазалығына назар аудару;
- Журнал толтыру;
- Оқушылардың назарын сабаққа бұру,
ІІ. Өткен сабаққа шолу. (10мин)
- Үй жұмысын тексеру (№5, 9, 10 есептер (74бет) . ),
ІІІ. Жаңа сабақ (20мин)
ПС. Копьютермен оқушының сұқбат программасын көрсетеміз.
Компьютер-оқушының сұқбаты:
Экрандағы ақпарат
Сары жазуға назар аударайық. Қалай ойлайсыңдар, компьютер оқушының өзінен 7 жас үлкен екенін қалай «біліп» тұр? . . .
Осындай мәселелерді шешу үшін программалық тілде шартты операторлар қолданылады.
Шарт дегеніміз жауабы «иә» немесе «жоқ» болатын ұйғарым (сұрақ) . Шарты бар операторларды құрама немесе күрделі дейді.
1. Тармақтаушы оператор - шарттың сақталуына/сақталмауына байланысты екі түрлі жағдайдың бірін таңдауға мүмкіндік береді.
Паскалдағы жазылу түрі:
Толық тармақтау
Блок-схема
if <шарт> then 1-оператор else 2-оператор;
шарт сақталса жауабы «иә» болып 1-оператор атқарылады және керісінше.
мыс:
gas:=15;
if jas<8 then write(‘сен менен ’, 8-jas, ’ кішісің’)
else write(‘сен менен ’, jas-8, ’ үлкенсің’) ;
Жоғарыдағы сұраққа назар салыңдар.
Қысқаша тармақтау
Блок-схема
if <шарт> then оператор;
шарт сақталса жауабы «иә» болып оператор атқарылады, сақталмаса («жоқ») компьютер келесі операторды орындауға өтеді. .
мыс:
gas:=15;
if jas<8 then write(‘сен менен ’, 8-jas, ’ кішісің’) ;
Енді жоғарыдағы сұқбатты программалап көрелік. ЕСЕП: Компьютер атыңды сұрайтын, содан соң өзнің қанша жас кіші/үлкен екенін айтатын проргамма жазыңыз.
ІV. Сынып жұмысы. (10мин)
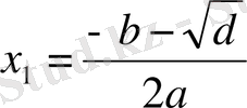
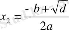
Квадрат теңдеуді шешу алгоритмі.
ах 2 + вх + с = 0
1. Не белгілі?
а, в, с - нақты сандар
2. Не істеу керек?
Кв. теңдеудің х1, х2 түбірлерін табу керек, түбірі болмаса «түбірі жоқ» деген хабар шығару керек.
3. Қалай жасау керек?
Дискриминант d=b 2 -4аc
D<0 түбірі жоқ
D=0 бір түбірі бар x1=-b/2a
d>0 екі түбірі бар х1=?, х2=?
,
program kvtendeu;
var a, b, c:integer;
x1, x2, d:real;
label 10;
begin
write('Кв. тенд. коэф. енгіз a, b, c ') ;
read(a, b, c) ;
d:=sqr(b) -(4*a*c) ;
if d<0 then begin writeln('түбірі жок ') ; goto 10; end;
if d=0 then begin writeln('Бір түбірі бар: ', -b/(2*a) ) ; goto 10; end
else writeln('Екі түбірі бар: ', -b+sqr(d) /(2*a), ' ', -b-sqr(d) /(2*a) ) ;
10: end.
V. Бағалау және үйге тапсырма (3мин) §3. 5 (76-82бет), №6 есеп (89бет)
- Іс жүргізу
- Автоматтандыру, Техника
- Алғашқы әскери дайындық
- Астрономия
- Ауыл шаруашылығы
- Банк ісі
- Бизнесті бағалау
- Биология
- Бухгалтерлік іс
- Валеология
- Ветеринария
- География
- Геология, Геофизика, Геодезия
- Дін
- Ет, сүт, шарап өнімдері
- Жалпы тарих
- Жер кадастрі, Жылжымайтын мүлік
- Журналистика
- Информатика
- Кеден ісі
- Маркетинг
- Математика, Геометрия
- Медицина
- Мемлекеттік басқару
- Менеджмент
- Мұнай, Газ
- Мұрағат ісі
- Мәдениеттану
- ОБЖ (Основы безопасности жизнедеятельности)
- Педагогика
- Полиграфия
- Психология
- Салық
- Саясаттану
- Сақтандыру
- Сертификаттау, стандарттау
- Социология, Демография
- Спорт
- Статистика
- Тілтану, Филология
- Тарихи тұлғалар
- Тау-кен ісі
- Транспорт
- Туризм
- Физика
- Философия
- Халықаралық қатынастар
- Химия
- Экология, Қоршаған ортаны қорғау
- Экономика
- Экономикалық география
- Электротехника
- Қазақстан тарихы
- Қаржы
- Құрылыс
- Құқық, Криминалистика
- Әдебиет
- Өнер, музыка
- Өнеркәсіп, Өндіріс
Қазақ тілінде жазылған рефераттар, курстық жұмыстар, дипломдық жұмыстар бойынша біздің қор #1 болып табылады.

Ақпарат
Қосымша
Email: info@stud.kz