Бірқалыпты және бірқалыпты емес қозғалыс

Сабақтың технологиялық картасы
Мерзімі Сынып 7А, 7Ә
Сабақ тақырыбы: Жылдамдық оның бірлігі. Орташа жылдамдық
Мақсаты:
а) білімділік: Оқушыларға жылдамдық және оның бірлігі, жылдамдықты өлшеу құралы туралы ұғымдарды қалыптастыру. Оның табиғат пен техникадағы маңыздылығын ұғындыру.
ә) дамытушылық: оқушылардың қозғалыс, бірқалыпты және бірқалыпсыз қозғалыс түсініктерін дамыту.
б) тәрбиелік: оқушыларды сауатты азамат болуға, еңбексүйгiштiкке және табиғатты қорғауға тәрбиелеу.
Құрал-жабдықтар: Интерактивті тақта, компьютер, интерактивті физика бағдарламасы, арбаша, науа және механикалық қозғалысты демонстрациялауға арналған қондырғы, сығылған ауа қондырғысы .
Сабақтың түрі: түсіндіру, демонстрациялық
Пән аралық байланыс: математика, табиғат тану, биология, химия
Сабақ барысы
Ұйымдастыру кезеңі.
І. Оқушылармен сәлемдесу, түгелдеу, сынып тазалығын шолып шығу.
ІІ. Үй тапсырмасын сұрау
- Бірнеше оқушыларға кеспе материалдар тарату.
- Материялық нүкте деген не?
- Қозғалыс троекториясы деп нені айтамыз?
- Орын ауыстыру деп нені айтамыз?
- Жүрілген жолдың орын ауыстырудан айырмашылығы неде? (мысал келтір)
Жаңа сабақты баяндау.
ІІІ. Біз өткен тақырыпта материялық нүкте қозғалыс траекториясына, жол және орын ауыстыру деген тақырыптарымен таныс болдық.
Енді жылдамдық және оның бірліктері - деген тақырыптармен танысамыз.
Алуан түрлі қозғалыстардың арасында кез-келген уақыт аралығында, бірдей жол кесінділерін жүріп өтетіндей қозғалыстар кездеседі.
* Дене тең уақыт аралығында ұзындығы бірдей жол жүрсе, ондай қозғалыс бірқалыпты қозғалыс деп аталады.
Мыс: поезд темір жолдың тегіс бөлігінде бір қалыпты қозғалады; бұл кезде доңғалақтары рельстің түйіскен жерінде сығылғанда шығатын дыбыс-та бірдей уақыт аралығында естіледі. Терезеден қарағанда бағандарда бірдей аралықта тұсымыздан өтіп артта қалып жатады.
Сол сияқты моторы өзгеріссіз жұмыс істейтін автомобиль жолдың түзу бөлігінде, конькиші немесе жаяу жарысқа түскен спортшы жүргізу аралығы-ның орта тұсында бірқалыпты қозғала алады.
Бірқалыпты қозғалысқа тағы да толып жатқан мысалдар келтіруге бола-ды. Стакандағы судан шыққан газ түйіршігі, жаңбыр тамшысы, т. б
Бірқалыпты қозғалыс табиғатта өте сирек кездеседі, көпшілігі бірқалып-сыз болады.
Мысалы: поезд орнынан қозғалғанда өзара тең уақыт арлығында барған сайын ұзағырақ жол жүреді.
* Дене тең уақыт аралығында әр түрлі жол жүріп өтсе, ондай қозғалысты бірқалыпты емес қозғалыс деп атайды.
Мысалы, мынадай тәжірибені қарастыруға болады. Тамызғыштан арбаның үстіне орнатылған өзара тең уақыт аралығы өткен сайын, су тамшылап тұрады. Арбаша қозғалғанда қағаз бетіне тамған тамшылардың ара қашықтықтары бірдей, демек арбаша бірдей уақыт аралығында ұзындықтары бірдей жол жүреді, яғни бірқалыпты қозғалады.
Енді бірқалыпты емес қозғалысты қарастырайық, бұл жағдайда тамшы іздерінен қозғалыстың бірқалыпты емес екендігін байқауға болады.
Қозғалыстағы алуан түрлі денелердің бірдей уақыт ішіндегі орын ауыс-тырулары түрліше болуы мүмкін. Олар бірдей орын ауыстыруы үшін әр түрлі уақыт жұмсайды.
Мыс: Жаяу адам 1минутта 100 метр жол жүреді. Жердің жасанды серігі бір минутта 500 км жол жүреді, ал радиодабыл немесе жарық дабылы 1 минутта 18 млн км жол жүреді.
Әр түрі қозғалыстар аралығындағы айырмашылықты сипаттау үшін қозғалыс жылдамдығы деп аталатын жаңа физикалық шама енгізіледі. Айырмашылық -Олардың жылдамдықтарында.
* Бірқалыпты қозғалыстан дененің жылдамдығын анықтау үшін оның бірлігін уақыт ішіндегі орын ауыстыруын сол уақыт аралығына бөлу керек:
Жылдамдық =
![]()
Бірқалыпты қозғалыстың анықтамасына жүгінсек мұндай қозғалыстың жылдамдығы тұрақты шама.
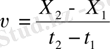
Айталық t 1 уақыт мезетінде кординатасы Х 1
t 2 уақыт мезетінде уақыт кординатасы Х 2
болсын. Демек t 2 - t 1 аралығында дененің орын ауыстыруы Х 2 -Х 1 шамаға өзгереді.
Сонда, формуласымен өрнектеледі.
t 2 - t 1 = t. ал
= L деп алсақ, онда
Бірқалыпты түзу сызықты қозғалыстағы дененің L - орын ауыстыруы, оның S- жүрген жолына тең.
Сондықтан алуға болады.
Бірліктердің халқаралық жүйесінде (Sl)
жылдамдықтың бірлігіне секундына метр (м/с) алынады. Бұл жылдамдық бір-қалыпты түзу сызықты қозғалатын нүктенің 1с ішінде 1м орын ауыстыратынын білдіреді.
Егер, Х 2 -Х 1 және L >0 болса, жылдамдық оң болады.
Х 2 -Х 1 және L <0 болса, жылдамдық теріс болады.
1. 2. 3.
№1 мысал.
- Іс жүргізу
- Автоматтандыру, Техника
- Алғашқы әскери дайындық
- Астрономия
- Ауыл шаруашылығы
- Банк ісі
- Бизнесті бағалау
- Биология
- Бухгалтерлік іс
- Валеология
- Ветеринария
- География
- Геология, Геофизика, Геодезия
- Дін
- Ет, сүт, шарап өнімдері
- Жалпы тарих
- Жер кадастрі, Жылжымайтын мүлік
- Журналистика
- Информатика
- Кеден ісі
- Маркетинг
- Математика, Геометрия
- Медицина
- Мемлекеттік басқару
- Менеджмент
- Мұнай, Газ
- Мұрағат ісі
- Мәдениеттану
- ОБЖ (Основы безопасности жизнедеятельности)
- Педагогика
- Полиграфия
- Психология
- Салық
- Саясаттану
- Сақтандыру
- Сертификаттау, стандарттау
- Социология, Демография
- Спорт
- Статистика
- Тілтану, Филология
- Тарихи тұлғалар
- Тау-кен ісі
- Транспорт
- Туризм
- Физика
- Философия
- Халықаралық қатынастар
- Химия
- Экология, Қоршаған ортаны қорғау
- Экономика
- Экономикалық география
- Электротехника
- Қазақстан тарихы
- Қаржы
- Құрылыс
- Құқық, Криминалистика
- Әдебиет
- Өнер, музыка
- Өнеркәсіп, Өндіріс
Қазақ тілінде жазылған рефераттар, курстық жұмыстар, дипломдық жұмыстар бойынша біздің қор #1 болып табылады.

Ақпарат
Қосымша
Email: info@stud.kz