Функция графигін салу

Күні: 11. 04. 2011
Пәні: Алгебра
Сынып: 10 А
Сабақтың тақырыбы: Функцияның ең үлкен және ең кіші мәндері
Мақсаты:
- Білімділік:Берілген аралықтағы функцияның ең үлкен және ең кіші мәндерін табу алгоритмімен таныстырып, есептер шығаруда қолдана білуге үйрету.
- Дамытушылық:Оқушылардың математика пәніне деген қызығушылығын арттыру, интерактивті технологияны қолдана білуге дағдыландыру.
- Тәрбиелілік:Өз жетістігін бағалай білуге, өз бетінше жұмыс жасауға іздене білуге тәрбиелеу
Сабақтың түрі: дәстүрлі емес
Сабақтың типі: жаңа сабақты меңгерту
Сабақтың әдісі: жеке, топтық, практикалық жұмыс
Сабақтың көрнекілігі: тірек-сызбалар, интерактивті тақта, компьютер
Пәнаралық байланыс: информатика, тарих.
Сабақтың жоспары:
І. Ұйымдастыру:
ІІ. Үй тапсырмасын тексеру:
ІІІ. «Ой қозғау»
ІV. «Білімдіге - биіктен орын»
V. «Ой толғаныс»
VI. «Кім жылдам?»
VII. Үй тапсырмасы:
VІІІ. . Қорытынды
Сабақтың барысы:
І. Ұйымдастыру: оқушылармен салемдесу, сабаққа дайындығын, қатысуын тексеру.
ІІ. Үй тапсырмасын тексеру : Оқушылардың өткен тақырыпты қаншалықты меңгергендігін тексеру. (№290, 296 есептерінін жауаптарын ауызша оқыту)
Сәйкестендіру кестесі ( Функцияны зерттеп оның графигін салу алгоритімін ретімен орналастыру)
ІІІ. «Ой қозғау»
Оқушылардың функция туралы ойларын жинақтау
ІV. «Білімдіге - биіктен орын» Тірек - схема арқылы жаңа сабақты меңгерту.
Функцияның ең үлкен және ең кіші мәндерін табу алгоритмі:
1.
функциясының туындысын табу
2.
=0 теңдеуін шешіп, сындық нүктелерін анықтау
3. Сындық нүктелердің берілген кесіндіге тиістілігін анықтау
4. Кесіндінің шеткі нүктелеріндегі және осы аралыққа тиісті сындық нүктелеріндегі функцияның мәнін есептеу.
5. Функцияның табылған мәндерін салыстыра отырып, оның ең үлкен және ең кіші мәндерін анықтау
1-Мысал:
=
функциясының
кесіндісіндегі ең үлкен және ең кіші мәндерін табыңдар:
1.
=
2.
=0,
=0
3.
4.
5. Ең кіші мәні:
Ең үлкен мәні:
2-мысал:
функциясының
кесіндісіндегі ең үлкен және ең кіші мәндерін табыңдар:
1.
=
2.
=0,
3.
4.
5. Ең кіші мәні:
Ең үлкен мәні:
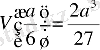
3-мысал: Қабырғасы а болатын квадрат қаңылтырдан табаны квадрат және төбесі ашық болып келген ең үлкен көлемді дайындай үшін бұрыштарынан бірдей квадрат қиып алу керек. (65 - сурет)
Шешуі.
Бүктеген кезде қаңылтырдан ең үлкен көлемді жәшік дайындау үшін бұрыштарынан бірдей квадраттар қиып алу керек. Қиылып алынатын квадраттың қабырғасының ұзындығын х деп алып белгілейік. Сонда жәшіктің табанының қабырғасы а-2х болады, ал жәшіктің көлемі
, мұндағы
1.
2.
бұдан
3.
4.
5. Ең үлкен мәні:
Сонымен қиып алатын квадраттың қабырғасының ұзындығы
-
ға тең болса, жәшік ең үлкен көлемге ие болады.
V. «Ой толғаныс». Оқулықпен жұмыс
№300
функциясының көрсетілген кесіндідегі ең үлкен және ең кіші мәндерін табыңдар.
А)
Ә)
Шешуі: Шешуі:
1.
1.
2.
2.
3. сындық нүктелері жоқ 3. сындық нүктелері жоқ
4.
4.
5. Ең үлкен мәні:
5. Ең үлкен мәні:
Ең кіші мәні:
Ең кіші мәні:
Жауабы: 13 және 1 Жауабы: 7 және 1
№301
А)
Ә)
Шешуі: Шешуі:
1.
1.
2.
,
2.
3.
3.
4.
4.
5. Ең үлкен мәні:
5. Ең үлкен мәні:
Ең кіші мәні:
Ең кіші мәні:
Жауабы:
32 және -1
Жауабы:
6 және -0, 25
VI. «Кім жылдам?» Деңгейлік тапсырмалар
І - деңгей (А)
1.
![]()
2.
![]()
ІІ - деңгей (В)
1.
![]()
2.
![]()
ІІІ - деңгей (С)
1.
![]()
2.
![]()
VII. Үй тапсырмасы: № 302, №308, №313
VІІІ. Қорытынды . Сабаққа белсене араласқан оқушыларды бағалау
- Іс жүргізу
- Автоматтандыру, Техника
- Алғашқы әскери дайындық
- Астрономия
- Ауыл шаруашылығы
- Банк ісі
- Бизнесті бағалау
- Биология
- Бухгалтерлік іс
- Валеология
- Ветеринария
- География
- Геология, Геофизика, Геодезия
- Дін
- Ет, сүт, шарап өнімдері
- Жалпы тарих
- Жер кадастрі, Жылжымайтын мүлік
- Журналистика
- Информатика
- Кеден ісі
- Маркетинг
- Математика, Геометрия
- Медицина
- Мемлекеттік басқару
- Менеджмент
- Мұнай, Газ
- Мұрағат ісі
- Мәдениеттану
- ОБЖ (Основы безопасности жизнедеятельности)
- Педагогика
- Полиграфия
- Психология
- Салық
- Саясаттану
- Сақтандыру
- Сертификаттау, стандарттау
- Социология, Демография
- Спорт
- Статистика
- Тілтану, Филология
- Тарихи тұлғалар
- Тау-кен ісі
- Транспорт
- Туризм
- Физика
- Философия
- Халықаралық қатынастар
- Химия
- Экология, Қоршаған ортаны қорғау
- Экономика
- Экономикалық география
- Электротехника
- Қазақстан тарихы
- Қаржы
- Құрылыс
- Құқық, Криминалистика
- Әдебиет
- Өнер, музыка
- Өнеркәсіп, Өндіріс
Қазақ тілінде жазылған рефераттар, курстық жұмыстар, дипломдық жұмыстар бойынша біздің қор #1 болып табылады.

Ақпарат
Қосымша
Email: info@stud.kz