Шартты көшу операторы

Сабақтың тақырыбы: Паскаль тілінің басқару операторлары
Сабақтың мақсаты:
Білімділік:
Оқушыларға Паскаль тілінің басқару операторлары: шартты және шартсыз көшу операторы, қайталау операторы жайлы түсіндіру. Сабақтан алған теориялық білімдерін жүйелі түрде тәжірибе жүзінде көрсете білу дағдыларын қалыптастыру.
Дамытушылық:
Бағдарламалау тілінде жұмыс жасай білу дағдыларын, ойлау қабілеттерін, өз білімдерін сауатты түрде жеткізе білуді, пәнге деген қызығушылықты дамыту, пәнаралық байланысты дамыту.
Тәрбиелік:
Жауапкершілікке, программа құруда ұқыптылыққа баулу, өзара көмектесуге, бір-бірін бағалауға тәрбиелеу.
Сабақтың типі: жаңа тақырыпты түсіндіру
Сабақтың түрі: топтық, жекелей
Сабақтың әдіс-тәсілдері: практикалық, деңгейлеп оқыту технологиясы.
Сабақтың көрнекіліктері: компьютер, ИТ, флипчарт, деңгейлік тапсырмалар, электронды оқулық, бағалау парақтары
Пәнаралық байланыс: математика, ағылшын
Сабақтың жоспары:
- Ұйымдастыру
- Үй тапсырмасын тексеру
- Өткен тақырыпты қайталау. «Футбол» ойыны
- Жаңа сабақты түсіндіру
- Сабақты бекіту
- кезеңі. Оқушылармен амандасып, түгендеу. Өтетін сабақтың тақырыбы мен мақсатын айту. Үй тапсырмасын тексеру.
Оқушылар жанында отырған көршілесімен дәптерлерін ауыстырып, тақтадан үй жұмысын тексереді. Тақтада үй жұмысының дұрыс нұсқасы көрсетіледі.
Әр партаға бағалау қағазы беріледі. Оқушылар бір-бірінің бағасын жазып отырады.
3. Өткен тақырыпты қайталау. «Футбол» ойыны
Сыныпта екі қатар екі команда болады. Әр команданың капитаны, коментаторы, қақпашысы, қорғаушылары мен шабуылшылары болады. Тақтада футбол алаңы көрсетіледі. (флип-чарт) . Өткен сабақтағы тақырыптан сұрақтар беріледі.
Ойын шарты:
- Бірінші сұраққа капитандарға беріледі, қай топтың капитаны дұрыс жауап берсе, доп соларда болады.
- Келесі сұрақ шабуылшылар мен қарсы топтың қорғаушыларына беріледі.
- Келесі сұрақ шабуылшылар мен қарсы топтың қақпашыларына беріледі. Қақпашы дұрыс жауап бермесе гол кіргізгені.
- Осылай кезекпен ойын жалғасады.
Сұрақтар:
- Оператор деген не?
- Паскаль тілінің қарапайым операторларын ата?
- Меншіктеу операторына мысал келтір?
- Көшу операторы қандай, қызметі?
- Бос оператор деген не?
- Бүтін сандардың сипатталуы?
- Модуль(абсолют шама) белгісінің жазылуы?
- Программа тақырыбы қалай аталады?
- Енгізу операторын ата?
- Түбір белгісінің Паскаль тілінде жазылуы?
- Нақты сандардың сипатталуы?
- Шығару операторын ата?
- Программаның басы, соңы қалай аталады?
- Программаның сипаттау бөлімінде нелер жазылады?
- Программаның операторлар бөлімінде нелер жазылады?
- Квадрат дәреже Паскальда қалай жазылады?
- Символдық сандардың сипатталуы?
- Жаңа сабақ түсіндіру
Тірек сызба арқылы түсіндіру
Паскаль тілінің басқару операторлары
Шартсыз көшу операторы Шартты көшу операторы Қайталау операторы
Құрылымдық операторлар
Енді осыларға толық тоқталайық:
Шартсыз көшу операторы
Операторлардың рет-ретімен орналасуын бұзып келесі атқарылуы тиіс опреаторға көшуді орындайды. Бұл оператор GOTO түйінді сөзімен белгіленеді.
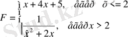
Шартты көшу операторы
Тармақталу процестері бар алгоритмдерді ұйымдастыру үшін шартты операторлар пайдаланылады.
Шартты оператордың жалпы түрі
Толық тармақталу
if <шарт>
then <1 оператор>
else <2 оператор>;
Толық емес тармақталу
if <шарт>
then <1 оператор>;
Шартты оператордың блок-схема түріндегі көрсетілуі:
Паскаль тілінде шарт құрғанда қатынас операциялары қолданылады:
>, <, >=, <=, =, <>
Күрделі шарттарды жазғанда AND(және), OR(немесе), NOT(емес) қолданылады.
Мысал1: (тақтада жазу)
Берілген у функциясының мәнін табатын программа құру
program Misal_1 (Input, Output) ;
var x, y: real;
begin
read(x) ;
if x<3 then y:=x+2 else y:=5*x;
write(‘y=’, y:5:2) ;
end.
Мысал2: Электронды оқулықтан бір мысал көрсетіп түсіндіру.
Мысал3: (флипчартта көрсету)
program Misal_3;
var x, y: real;
begin
read(x) ;
if (x>=16 and x<=26) then y:=x+50 else y:=2*x+20;
write(‘y=’, y) ;
end.
- Сабақты бекіту
Ауызша тапсырма (флипчартта)
Келесі программалар үзінділері орындалғандағы нәтижені анықтаңдар:
1 топқа 2 топқа
begin begin
x:=-5; x:=9;
if x>0 then y:=sqr(x) else y:=x*20; if x>0 then y:=sqrt(x) else y:=x/2;
write(y) ; write(y) ;
end. end.
Кітаппен жұмыс
86 бет №9(а, ә) екі топтан бір-бір оқушы тақтада жұмыс істейді
Деңгейлік тапсырмалар орындау
І деңгей
ІІ деңгей
ІІІ деңгей
Шағын тест
10 сұрақтан тұратын тест флипчартта беріледі. Оқушылар соңында жұптарымен ауысып тақтадағы жауаптары бойынша бір-бірін тексереді.
- Сабақ қорытындысы
Сұрақ-жауап арқылы сабақты қорытындылау.
Бағалау парағы арқылы оқушыларды бағалау
- Іс жүргізу
- Автоматтандыру, Техника
- Алғашқы әскери дайындық
- Астрономия
- Ауыл шаруашылығы
- Банк ісі
- Бизнесті бағалау
- Биология
- Бухгалтерлік іс
- Валеология
- Ветеринария
- География
- Геология, Геофизика, Геодезия
- Дін
- Ет, сүт, шарап өнімдері
- Жалпы тарих
- Жер кадастрі, Жылжымайтын мүлік
- Журналистика
- Информатика
- Кеден ісі
- Маркетинг
- Математика, Геометрия
- Медицина
- Мемлекеттік басқару
- Менеджмент
- Мұнай, Газ
- Мұрағат ісі
- Мәдениеттану
- ОБЖ (Основы безопасности жизнедеятельности)
- Педагогика
- Полиграфия
- Психология
- Салық
- Саясаттану
- Сақтандыру
- Сертификаттау, стандарттау
- Социология, Демография
- Спорт
- Статистика
- Тілтану, Филология
- Тарихи тұлғалар
- Тау-кен ісі
- Транспорт
- Туризм
- Физика
- Философия
- Халықаралық қатынастар
- Химия
- Экология, Қоршаған ортаны қорғау
- Экономика
- Экономикалық география
- Электротехника
- Қазақстан тарихы
- Қаржы
- Құрылыс
- Құқық, Криминалистика
- Әдебиет
- Өнер, музыка
- Өнеркәсіп, Өндіріс
Қазақ тілінде жазылған рефераттар, курстық жұмыстар, дипломдық жұмыстар бойынша біздің қор #1 болып табылады.

Ақпарат
Қосымша
Email: info@stud.kz