1020 тест кітапшаларындағы туындыларды шығару

10 сынып
Төлемісова Г. С
Математика пәні мұғалімі
Ақтөбе облысы, Шалқар қаласы, Ә. Жангелдин атындағы орта мектебі
Сабақтың тақырыбы: Туындыға есептер шығару
Мақсаты:
б) туынды ережелерін, туынды есептеу тиісформулаларын, күрделі функцияның туындысын білуі тиіс
д) формулаларды есептер шығаруда пайдалана білу мен деңгейлік есептер шығару дағдысын қалыптастыру арқылы дамыту
т) ақыл-ой тәрбиесі, патриоттық тәрбие беру
Сабақтың типі; іскерлік пен дағдыны қалыптастыру
Оқыту технологиясы: ақпараттық оқыту технологиясы
Сабақтың көрнекілігі: интерактивті тақта, парақшалар, электронды оқулық
Оқыту әдісі: практикалық, жұптық
Сабақтың барысы:
- Ұйымдастыру
- Үй жұмысын тексеру №217
- Актуалдау
Сабағымызды мына схема бойынша жүргіземіз,
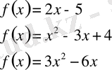
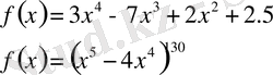
Функциялардың туындыларын табайық
І. «Білгенге маржан»
Туындыларды, туынды ережелерін еске түсіреміз
Дамыту
ІІ. Шаршының ішіндегі туындыны есептейік
Слайд бойынша есептердің а) -сы тақтаға, ә) -сі орындарында шығарылады
ІІІ. Төртбұрыштағы туындыны табымыз.
«Мүмкіндігіңді көрсет»
Деңгейлік есептерді шығарып 1-ші болған оқушыға алтын медаль беру
І деңгей
ІІ деңгей
ІІІдеңгей
ІҮ Төртбұрыштағы есеп.
Азиададағы биатлон сайысында неше нысананы көздейді.
Сендер де сол сияқты электронды оқулықтан 5 тест есебін шешесіздер
Оқушылар бір-бірінің дәптерлерін алмастырып, тексереді
Тра пециядағы туындыны есептейік
Бекіту
19 оқушыға есептер беріледі
Есептің шешімін дұрыс шығарып, инерактивті тақтада төртбұрыштарды ашқанда «Тәуелсіздік - тұғырың» деген сөз шығады.
2011 жылы қандай мерекені атап өтпекшіміз?
Сонымен біздер шешкен туындылардағы коэффициенттерді еліміздегі оқиғалармен байланыстырыңдар.
Тәуелсіздігіміздің 20 жылдығы айтылады.
Үйге; 1016, 1017, 1018, 1019, 1020 тест кітапшаларындағы туындыларды шығару
Бағалау
- Іс жүргізу
- Автоматтандыру, Техника
- Алғашқы әскери дайындық
- Астрономия
- Ауыл шаруашылығы
- Банк ісі
- Бизнесті бағалау
- Биология
- Бухгалтерлік іс
- Валеология
- Ветеринария
- География
- Геология, Геофизика, Геодезия
- Дін
- Ет, сүт, шарап өнімдері
- Жалпы тарих
- Жер кадастрі, Жылжымайтын мүлік
- Журналистика
- Информатика
- Кеден ісі
- Маркетинг
- Математика, Геометрия
- Медицина
- Мемлекеттік басқару
- Менеджмент
- Мұнай, Газ
- Мұрағат ісі
- Мәдениеттану
- ОБЖ (Основы безопасности жизнедеятельности)
- Педагогика
- Полиграфия
- Психология
- Салық
- Саясаттану
- Сақтандыру
- Сертификаттау, стандарттау
- Социология, Демография
- Спорт
- Статистика
- Тілтану, Филология
- Тарихи тұлғалар
- Тау-кен ісі
- Транспорт
- Туризм
- Физика
- Философия
- Халықаралық қатынастар
- Химия
- Экология, Қоршаған ортаны қорғау
- Экономика
- Экономикалық география
- Электротехника
- Қазақстан тарихы
- Қаржы
- Құрылыс
- Құқық, Криминалистика
- Әдебиет
- Өнер, музыка
- Өнеркәсіп, Өндіріс
Қазақ тілінде жазылған рефераттар, курстық жұмыстар, дипломдық жұмыстар бойынша біздің қор #1 болып табылады.

Ақпарат
Қосымша
Email: info@stud.kz