Математикалық маятниктің периоды

Жамбыл облысы Сарысу ауданы Жаңатас қаласы
Шоқан Уәлиханов мектеп-гимназиясы
Тастанбекова Айпарша Мүтәқызы
Физика пәнінің мұғалімі
Сабақ жоспары №
Сабақтың тақырыбы: Математикалық маятниктің тербелісі.
Сабақтың мақсаты: а) оқушыларға математикалық маятниктің
тербелісінің физикалық заңдылықтарын түсіндіру;
б) оқушылардың танымдық, шығармашылық, өз бетінше
ойлау мен жұмыс істеу қабілеттерін дамыту;
Сабақтың тәрбиелік мақсаты: оқушылардың дүниеге ғылыми көзқарасын
қалыптастыру, пәнге деген қызығушылығын арттыру;
Сабақтың типі: жаңа тақырыпты түсіндіру;
Сабақтың түрі: аралас;
Сабақтың көрнекілігі: плакат, мультимедиалық объект.
Сабақтың барысы:
І. Ұйымдастыру.
ІІ. Өтілген тақырыпты қайталау:
А) тақтаға екі оқушы үйге берілген есепті шығарады.
Б) Қалған оқушылармен сұрақ-жауап:
1. Тербелмелі қозғалыс кезінде дененің кинетикалық энергиясы қай жағдайда ең үлкен мәнге ие болады? Неліктен?
2. Серіппеге бекітілген дененің потенциалдық энергиясы қай жағдайда ең үлкен мәнге ие болады? Неліктен?
3. Тербеліп тұрған дене траекториясының кез келген нүктесіндегі толық энергия неге тең?
4. Өшетін тербеліске мысалдар келтіріңдер.
5. Айырмашылығы неде?
ІІІ. Жаңа тақырыпты түсіндіру:
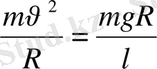
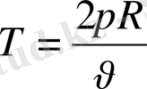
- Математикалық маятниктің анықтамасын түсіндіру;
- Математикалық маятникте тербеліс тудыратын күшті талдау;
- Математикалық маятниктің периоды;
,
,
,
,
,
,
,
,
* Сонымен математикалық маятниктің периоды қандай шамаларға, қалай тәуелді екен?
- Гармониялық тербеліс графигі;
![]()
![]()
![]()
![]()
x Т
А
О t
IV. Жаңа тақырыпты бекіту - тест.
І нұсқа
1. Суретте Оу осі бойымен тербелетін дене координатасының уақытқа тәуелділік графигі кескінделген. Тербеліс амплитудасы қандай?
А) 4см; В) 2см; С) 1см; Д) 0, 5см; Е) 0.
2. Суреттегі график бойынша тербеліс жиілігін анықтаңдар.
А) 1с; В) 2с; С) 4см; Д) ½ Гц; Е) ¼ Гц.
3. Дене тербелісінің амплитудасы 0, 5 м болса бір период ішінде дене қандай жол жүреді?
А) 0; В) 0, 5 м; С) 1м; Д) 2м; Е) 2, 5м.
4. Ұзындығы 4, 9 м математикалық маятниктің тербеліс периоды неге тең?
А) 4, 4с; В) 3, 2с; С) 7, 2с; Д) 52, 4с; Е) 13, 2с
5. Математикалық маятниктің тербеліс периоды Т
0
. Егер оның ұзындығын n есе арттырса, тербеліс периоды қандай болады?
А) nT 0 B) n 2 T 0 С) Д) Е)
ІІ нұсқа
1. Суретте дененің координатасының уақытқа тәуелділік графигі кескінделген. Тербеліс периоды неге тең?
А) 1с; В) 2с; С) 4см; Д) ½ Гц; Е) ¼ Гц.
2. Суретте дене координатасының уақытқа тәуелді графигі берілген. Дене тербелісінің циклдік жиілігі неге тең?
А) В) С) Д) Е)
3. 4с ішінде маятник 8 тербеліс жасайды. Тербеліс периоды неге тең?
А) 8с; В) 4с; С) 2с; Д) 0, 5 с; Е) 32с.
4. Ұзындығы 2, 45м математикалық маятник 60с ішінде қанша тербеліс жасайды?
А) 190; В) 19; С) 2; Д) 38; Е) 76.
5. Тербеліс теңдеуі x=10 cos(16πt+8) (Барлық шамалар СИ жүйесінде берілген) . Тербеліс периоды неге тең?
А) 10с; В) 8с; С) 16с; Д) 1/8 с; Е) 1/16 с.
Жауаптары: І нұсқа: В, Е, Д, А, С.
ІІ нұсқа: С, В, Д, В, Д.
V. Есеп шығару
VI. Үйге тапсырма: §27(І, ІІ), 22-жаттығу (4, 5)
- Іс жүргізу
- Автоматтандыру, Техника
- Алғашқы әскери дайындық
- Астрономия
- Ауыл шаруашылығы
- Банк ісі
- Бизнесті бағалау
- Биология
- Бухгалтерлік іс
- Валеология
- Ветеринария
- География
- Геология, Геофизика, Геодезия
- Дін
- Ет, сүт, шарап өнімдері
- Жалпы тарих
- Жер кадастрі, Жылжымайтын мүлік
- Журналистика
- Информатика
- Кеден ісі
- Маркетинг
- Математика, Геометрия
- Медицина
- Мемлекеттік басқару
- Менеджмент
- Мұнай, Газ
- Мұрағат ісі
- Мәдениеттану
- ОБЖ (Основы безопасности жизнедеятельности)
- Педагогика
- Полиграфия
- Психология
- Салық
- Саясаттану
- Сақтандыру
- Сертификаттау, стандарттау
- Социология, Демография
- Спорт
- Статистика
- Тілтану, Филология
- Тарихи тұлғалар
- Тау-кен ісі
- Транспорт
- Туризм
- Физика
- Философия
- Халықаралық қатынастар
- Химия
- Экология, Қоршаған ортаны қорғау
- Экономика
- Экономикалық география
- Электротехника
- Қазақстан тарихы
- Қаржы
- Құрылыс
- Құқық, Криминалистика
- Әдебиет
- Өнер, музыка
- Өнеркәсіп, Өндіріс
Қазақ тілінде жазылған рефераттар, курстық жұмыстар, дипломдық жұмыстар бойынша біздің қор #1 болып табылады.

Ақпарат
Қосымша
Email: info@stud.kz