Симметриялы теңдеуді шеш

Дарынды балаларға арналған үш тілде оқытатын М. Арын атындағы
”Экономика және бизнес”арнаулы лицейі
Пән мұғалімі: Тулеметова К. А.
Сабақтың тақырыбы: Квадрат теңдеулер.
Мақсаты: 1. Білімділік. Оқушылардың алған білімдерін тереңдетіп, жинақтап, жүйелеу. Квадрат теңдеулерді шешу дағдыларын бекіту, есептер шығаруда дұрыс қолдана білуге бағыттау өз бетінше жұмыс істеуге дағдыландыру.
2. Дамытушылық. Логикалық ойлау, есептеу дағдыларын жетілдіру, критериалды бағалау бойынша құзыреттілік деңгейлерін бағалау дағдыларын, танымдық қызығушылығын арттыру.
3. Тәрбиелік. Оқушыларды өз бетімен еңбектенуге, ізденуге, тез ойлап, тез ой қорытуға, өзіне сенімділікке, ұйымшылдыққа, теориялық білімдерін есеп шығару шеберлігімен ұштастыру, жүйелі білім алуға тәрбиелеу.
Түрі: Қайталау.
Көрнекілігі: Слайд, интерактивті тақта, үлестірмелі карточкалар, бағалау парағы.
Әдісі: Жеке бала іс-әрекеті, критериалды бағалау, диалогтік, сұрақ-жауап, сыни ойлау стратегиясы.
«Өзіңе сен өзіңнің күшіңе сен,
Алып шығар білімің мен еңбегің екі жақтап».
Барысы:
- Ұйымдастыру кезеңі.
- Ой бөлісу - ауызша есептер.
- Ой толғау-деңгейлік тапсырма.
- Сергіту сәті.
- Ой сергіту - шығармашылықты шыңдау.
- Ой түйін - тест тапсырма.
- Қорытындылау, бағалау.
- Үйге тапсырма.
ІІ. Ой бөлісу - ауызша есептер.
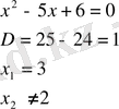
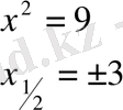
А) Ауызша жаттығулар.
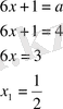
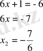
- Теңдеулердің шешімдерін тап.
А)
Б)
В)
![]()
![]()
![]()
![]()
Г)
Д)
Ж)
![]()
ІІІ. Ой толғау - деңгейлік тапсырма.
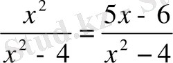
В) Теңдеуді шешіңдер:
А)
Б)
Жауабы: 2; -1, 2 Жауабы: m; 2m
В)
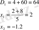
ММЖ:
Жауабы: 3
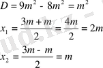
С) Кім тапқыр?
А)
теңдеуі түбірлерінің айырымы 2-ге тең болса, q-ды табыңдар.
Жауабы: q=35
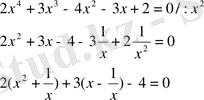
Б) Жаңа айнымалыны енгізу әдісін қолданып, теңдеуді шеш.
Жауабы:
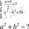
В) Екі санның арифметикалық ортасы 7-ге, ал квадраттарының айырымы 56-ға тең. Осы екі санның квадраттарының қосындысын тап.
Шешуі:
Жауабы: 106
IV. Сергіту сәті. (ауызша)
V. Ой сергіту - шығармашылық тапсырма.
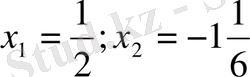
Симметриялы теңдеуді шеш:
Жауабы: 1; -1; -2;
VІ. Ой түйін - тест тапсырма.
№1. Теңдеуді шешіңдер.
А) 1; 14 В) -1; 13 С) -1; -13 Д) Түбірі жоқ
№2. Теңдеуді шеш.
А) 1; -3 В) Түбірі жоқ С) 3; -1 Д) 2; 3
№3. Түбірлері 1-ге және -3 - ке тең квадрат теңдеу құрыңдар.
А) х 2 +3х-1=0 В) x 2 -3x+1=0 С) x 2 -x-3=0 Д) x 2 +2x-3=0
№4. m-нің қандай мәнінде x 2 -3x+m=0 теңдеуінің бір түбірі 2-ге тең?
А) 4 В) 3 С) 2 Д) 1
№5. Теңдеуді шеш:
А) 0; -3 В) 0; 4 С)
Д)
№6. Түбірлерінің қосындысын табыңдар:
А) 11 В) 5, 5 С) 2, 75 Д) 2, 5
VII . Қорытындылау, бағалау.
VIII. Үйге тапсырма.
- Іс жүргізу
- Автоматтандыру, Техника
- Алғашқы әскери дайындық
- Астрономия
- Ауыл шаруашылығы
- Банк ісі
- Бизнесті бағалау
- Биология
- Бухгалтерлік іс
- Валеология
- Ветеринария
- География
- Геология, Геофизика, Геодезия
- Дін
- Ет, сүт, шарап өнімдері
- Жалпы тарих
- Жер кадастрі, Жылжымайтын мүлік
- Журналистика
- Информатика
- Кеден ісі
- Маркетинг
- Математика, Геометрия
- Медицина
- Мемлекеттік басқару
- Менеджмент
- Мұнай, Газ
- Мұрағат ісі
- Мәдениеттану
- ОБЖ (Основы безопасности жизнедеятельности)
- Педагогика
- Полиграфия
- Психология
- Салық
- Саясаттану
- Сақтандыру
- Сертификаттау, стандарттау
- Социология, Демография
- Спорт
- Статистика
- Тілтану, Филология
- Тарихи тұлғалар
- Тау-кен ісі
- Транспорт
- Туризм
- Физика
- Философия
- Халықаралық қатынастар
- Химия
- Экология, Қоршаған ортаны қорғау
- Экономика
- Экономикалық география
- Электротехника
- Қазақстан тарихы
- Қаржы
- Құрылыс
- Құқық, Криминалистика
- Әдебиет
- Өнер, музыка
- Өнеркәсіп, Өндіріс
Қазақ тілінде жазылған рефераттар, курстық жұмыстар, дипломдық жұмыстар бойынша біздің қор #1 болып табылады.

Ақпарат
Қосымша
Email: info@stud.kz