Бұрыс бөлшек

Сабақтың тақырыбы
: Жай бөлшектерді қосу
Сабақтың мақсаты
:
Білімділік : оқушыларға жай бөлшектерді қосу ережесін пайдаланып,
бөлімдері бірдей бөлшектер және бөлімдері әр түрлі бөлшектерді қоса білу;
Дамытушылық
: оқушылардың нақты ойлау, есте сақтау қабілетін
дамыту, алған білімдерін есеп шығаруда пайдалана білуге үйрету
Тәрбиелік
: оқушыларды өз бетімен еңбектенуге, теориялық білімдерін
есеп шығару шеберлігімен ұштастыру, жүйелі білім алуға тәрбиелеу
Сабақтың түрі
: жаңа сабақ
Сабақтың типі
: жаңа материалды игерту
Сабақтың әдісі
:сұрақ-жауап, ой қозғау, түсіндірмелі,
Көрнекіліктер
: оқулық, СТО жобасы, слайдтар, математикалық диктант, тест тапсырмалары, үлестірме тапсырмалары, бағалау парағы,
Сабақ барысы:
І. Ұйымдастыру кезеңі
Оқушылармен амандасып, түгелдеп, сабаққа әзірлігін қадағалау
Оқушыларды үш топқа бөлу.
I-топ «Дұрыс бөлшек»
II- топ «Бұрыс бөлшек»
III- топ «Аралас сан»
І. Қызығушылықты ояту.
1. Математикалық диктант
Мұхит атындағы орта жалпы білім беретін мектепте барлығы оқушы білім алады. Олардың ұл бала, қыз бала. 5 сыныпта 19 оқушының 6 ұл, 13қыз бала.
1) 5 сыныптың ___ бөлігі ұл, ал ___ бөлігі қыз балалар.
2) 5 сынып оқушылары мектеп оқушыларының ___ бөлігін құрайды.
3) Мектеп оқушыларының ___ бөлігі ұл, ал ___ бөлігі қыздар
4) 5 сыныпта ұлдар барлық ұлдардың, ал қыздар барлық қыздардың бөлігі.
5) 5 сыныпта ұлдар қыздардан ___ бөлікке артық.
II. Мағынаны тану. 1. Жаңа сабақ.
қ
осындысының мәнін табайық.
Ереже: Бөлімдері бірдей жай бөлшектердің қосындысы алымы бөлшектердің алымдарының қосындысына, ал бөлімі өзгеріссіз қалдырылған бөлшекке тең болады. Оны жалпы былай жазуға болады:
Мысалы:
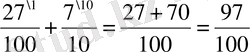
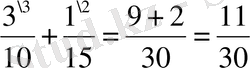
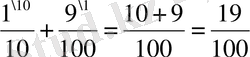
- Бөлімдері әр түрлі бөлшектерді қосу.
Бөлімдері әр түрлі бөлшектерді қосу үшін, олардың ең кіші ортақ бөлімге келтіріп, бөлімдері бірдей бөлшектерді қосу керек.
Мысалы :
Бөлшектердің қосындысы қысқартылатын бөлшек болса онда өысөарту керек. Егер нәтиже бұрыс бөлшек болса, онда оны аралас санға айналдыру керек, яғни бүтін және бөлшек бөлігін айыру керек.
∗ Егер жай бөлшектерді қосу кезінде шыққан бөлшек :
1) бұрыс болса, онда аралас санға айналдырамыз;
2) қысқартылатын болса, онда оны қысқартамыз.
Мысалы:
- Бөлшектерді қосуда, өрнектерді ықшамдауда қосудың ауыстырымдылық, терімділік қасиеттері қолданылады.
жазылуының оқылуы-жетіден екі мен сегізден үштің қосындысы немесе жетіден екіге сегізден үшті қосу
2. Оқулықпен жұмыс. Жаттығу жұмыстары. №495(ауызша) №496. №497.
1)
; 4)
5)
6)
№496.
1)
4)
6)
8)
10)
11)
№497.
1)
2)
3)
3. Логикалық есептер. № 504, 506, 508
№ 504
Шарты: Назгүл кітаптың
оқыды, тағы
оқыды. Ол қанша бөлігін оқыды?
Шешуі:
Жауабы:
бөлігін оқыды.
№ 506 Шарты: Бірінші күні
, екінші күні
сатылды. Екі күнде қандай бөлігі сатылды?
Шешуі:
Жауабы:
бөлігі сатылды.
№ 508 Шарты: Бірінші күні
, екінші күні
қазды. Екі күнде қанша бөлігін қазды?
Шешуі:
, ЕКОЕ (10; 15) =30
Жауабы:
бөлігін қазды.
4. Шығармашылық жұмыс. Ребус шешу. І - топ
1. Бөлшектерді өсу ретімен жаз;
2. Бөлшектердің қатары бойынша әріптерді орын-орнына қойсақ, қандай сөз шығады?






ІІ - топ
Сөзжұмбақ шешу:
- Алымы бөліміне тең немесе алымы бөлімінен үлкен бөлшек.
- Бөлшек сызығының астындағы сан.
- Бөлшек сызығының үстіндегі сан.
- О нүктесінен бірдей қашықтықтағы нүктелерден құралған тұйық сызық.
- Ең кіші жай сан.
- Координаталық сәуледегі таңдап алынған кесінді.
Б
Ө
Л
Ш
Е
К
ІІІ - топ
Сөзжұмбақ шешу.
- Алымы бөліміне тең немесе одан үлкен бөлшек
- 2*2 неге тең?
- Бүтін және бөлшек бөліктен тұратын сан
- Құрамында мәнін табу қажет болатын әріпті өрнек
5. Үйге тапсырма: §26 № 497 (4, 5, 6) № 498 №511 (1, 4, 6)
6. Ой толғаныс.
1. Тест тапсырмасы
1. Бөлшектің алымын көрсет
А) 3 ә) 4 б) екеуі де емес
2. Бөлшекті қысқарт:
А) ә) б)
3. Дұрыс бөлшекті көрсет:
А) ә / б/ 1
4. Бұрыс бөлшекті көрсет:
а/ ә/ 1 б/
5. Аралас сан түрінде жаз
а/ 1 ә/ 2 б/ 2
6. Координаталық сәуленің санақ басы қайсы нүкте?
а/ А ә/ О б/ 1
7. Бөлшектерді ортақ бөлімге келтір: және
- Іс жүргізу
- Автоматтандыру, Техника
- Алғашқы әскери дайындық
- Астрономия
- Ауыл шаруашылығы
- Банк ісі
- Бизнесті бағалау
- Биология
- Бухгалтерлік іс
- Валеология
- Ветеринария
- География
- Геология, Геофизика, Геодезия
- Дін
- Ет, сүт, шарап өнімдері
- Жалпы тарих
- Жер кадастрі, Жылжымайтын мүлік
- Журналистика
- Информатика
- Кеден ісі
- Маркетинг
- Математика, Геометрия
- Медицина
- Мемлекеттік басқару
- Менеджмент
- Мұнай, Газ
- Мұрағат ісі
- Мәдениеттану
- ОБЖ (Основы безопасности жизнедеятельности)
- Педагогика
- Полиграфия
- Психология
- Салық
- Саясаттану
- Сақтандыру
- Сертификаттау, стандарттау
- Социология, Демография
- Спорт
- Статистика
- Тілтану, Филология
- Тарихи тұлғалар
- Тау-кен ісі
- Транспорт
- Туризм
- Физика
- Философия
- Халықаралық қатынастар
- Химия
- Экология, Қоршаған ортаны қорғау
- Экономика
- Экономикалық география
- Электротехника
- Қазақстан тарихы
- Қаржы
- Құрылыс
- Құқық, Криминалистика
- Әдебиет
- Өнер, музыка
- Өнеркәсіп, Өндіріс
Қазақ тілінде жазылған рефераттар, курстық жұмыстар, дипломдық жұмыстар бойынша біздің қор #1 болып табылады.

Ақпарат
Қосымша
Email: info@stud.kz