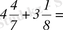
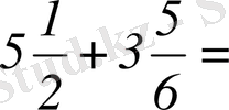
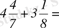
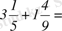
Аралас сан

Сыныбы:5 Б Күні: Бекітемін:
Ашық сабақтың тақырыбы: Аралас сандарды қосу. Математикалық ойын сабағы
Сабақтың мақсаты:
- Аралас сандарды қосу кезіндегі оқушылардың білмдерін жүйелеу
- Оқушылардың ойлау қабілеттерін дамыта отырып, интеллектуалдығын қалыптастыру
- Өзін-өзі басқаруға, ұйымшылдыққа, ұқыптылыққа тәрбиелеу
Сабақтың түрі: бекіту сабағы
Көрнекілігі: таблицалар, дидактикалық материалдар, тест, бағалау парағы, флипчарт, Activevote тестілеу құрылғысы, презентация
Сабақтың барысы:
І кезең. Оқушылардың сабаққа қатысуын, даярлығын тексеру.
ІІ кезең. Ойынды өткізудегі мақсаты (ойынның түрі, ережесі, т. б. шартымен таныстыру)
Балалар біз өткен сабақта «Аралас сандарды қосу» тақырыбын өтіп, есептер шығардық. Үйге тапсырма берілді. Мен сіздерге екі параққа шыгарып жазып келіңдер дедім. Қазір соны жинап бере қойыңдар. Мен сабақ барысында тексеріп, қайта таратып беремін.
Сабағымызды бастамас бұрын бізде алда қандай мейрам келе жатыр? Дұрыс айтасыңдар ҚР тәуелсіздігіне 20 жыл . Осы мерекеге байланысты осы елдің патриоттары ретінде әнұранның бір куплетін орнымыздан тік тұрып орындап жіберейік. (Әнұран орындалады. ) Жарайсыңдар балалар!
Енді бүгінгі сабағымыз математикалық ойын түрінде өтеді, яғни жай бөлшектер, дұрыс және бұрыс бөлшектер, аралас сандар ұғымдарын, ережелерін қайталап, бекіту сабағын өтеміз.
Сабағымыз ойын түрінде өтетін болғандықтан, 3 топқа бөліндік. Әр топтың өз эмблемасы, ұраны, таныстыруы бар, соларды айтып шығамыз.
1-топ- Дұрыс бөлшек тобы
2-топ Бұрыс бөлшек
3-топ Аралас сан
Енді ойынның шарттарымен таныстырамын, мұқият тыңдаймыз.
Дұрыс жауап - 5 ұпай бес бұрыш
Толық емес жауап - 3 ұпай үшбұрыш
Қате жауап - 0 ұпай
Ойын соңында осы ұпайларды есептеп, жеңімпазды анықтап, сіздерді бағалаймын.
Ойын 5 бөлімнен тұрады.
І бөлім. «Кім жылдам?» сұрақтарға жауап беру.
Әр топқа 5 сұрақтан беріледі.
Дұрыс бөлшек тобының сұрақтары
1. Дұрыс бөлшек дегеніміз не?
2. Бөлімдері бірдей жай бөлшектерді қалай салыстырамыз?
3. Бөлімдерді бірдей бөлшектерді қалай қосамыз?
Бұрыс бөлшек тобының сұрақтары
1. Бұрыс бөлшек дегеніміз не?
2. Бөлімдері әр түрлі бөлшектерді қалай қосамыз?
3. Әріптердің көмегімен бөлімдері бірдей жай бөлшектерді қосу ережесін жазып көрсет.
а b a+b
─ + ─ = ──
c c c
Аралас сан тобының сұрақтары
- Аралас сан дегеніміз не?
- Әріптердің көмегімен бөлімдері бірдей жай бөлшектерді азайту ережесін жазып көрсет.
3 . Аралас сандарды қалай қосамыз?
ІІ бөлім. «Тез есептей білеміз бе?» Флипчартте көрсету.
«Тәуелсіз ел тірегі - білімді ұрпақ», «Мен қазақпын мың өліп, мың тірілген», «Тәуелсіздік аңсаған арман, қол жеткен мұрат» нақыл сөздері шығу керек.
Әр топқа карточка бойынша есептер беріледі.
Дұрыс бөлшек тобының есептері
тірегі
ұрпақ
-
ел
тәуелсіз
білімді






Бұрыс бөлшек тобының есептері
қазақпын
өліп
мың
мен
тірілген
мың






Аралас сан тобының есептері
9
аңсаған
3
тәуелсіздік
жеткен
4
арман
21
мұрат
8
қол






ІІІ бөлім. Жасырылған санды тап .
Әр топ кезекпен ұяшықтарды таңдайды. Әр дұрыс жауапқа 10 ұпай алады .
«1»
«2»
«3»
«4»
«5»
«6»
«7»
«8»
«9»
ІҮ бөлім. Тест жұмысы
1.
А.
В.
С.
2.
А.
В.
С.
3.
А.
В.
С.
4.
А.
В.
С.
5.
А.
В.
С.
6.
А.
В.
С.
Ү бөлім. «Эрудит» бөлімі. Әр топ плакатқа өз жобаларын қорғайды, яғни мейрамға және математикаға байланысты етіп сурет, өлең шығарады. Ең үздік жоба 10 ұпаймен бағаланады.
І топ сұрағы
Оқушы сан ойлады. Ойлаған саннан
-ні азайтқанда, 240 санынан 60 есе кіші сан шығады. Оқушы қандай сан ойлады?
ІІ топ сұрағы
Оқушы сан ойлады. Ойлаған саннан
-ті азайтқанда, 450 санынан 90 есе кіші сан шығады. Оқушы қандай сан ойлады?
ІІІ кезең. Қорытындылау.
Бекіту сұрақтары :
- Жай бөлшектерді қалай қосамыз?
- Аралас сандарды қалай қосамыз?
ІҮ кезең. Бағалау
Ү кезең. Үйге тапсырма. № 538, 539 есептер шығару
№39 «Қызылөзек» орта мектебі
Математикалық ойын
Пән мұғалімі: Сарманова Л
Қызылорда қаласы, 2011 ж
Тест сұрақтары
1.
А.
В.
С.
2.
А.
В.
С.
3.
А.
В.
С.
4.
А.
В.
С.
5.
А.
В.
С.
6.
А.
В.
С.
Тест сұрақтары
1.
А.
В.
С.
2.
А.
В.
С.
3.
А.
В.
С.
4.
А.
В.
С.
5.
А.
В.
С.
6.
А.
В.
С.
Тест құрылғысы
Дұрыс бөлшек тобының есептері
тірегі
ұрпақ
-
ел
тәуелсіз
білімді






Бұрыс бөлшек тобының есептері
қазақпын
өліп
мың
мен
тірілген
мың






Аралас сан тобының есептері
9
аңсаған
3
тәуелсіздік
жеткен
4
арман
21
мұрат
8
қол






- Іс жүргізу
- Автоматтандыру, Техника
- Алғашқы әскери дайындық
- Астрономия
- Ауыл шаруашылығы
- Банк ісі
- Бизнесті бағалау
- Биология
- Бухгалтерлік іс
- Валеология
- Ветеринария
- География
- Геология, Геофизика, Геодезия
- Дін
- Ет, сүт, шарап өнімдері
- Жалпы тарих
- Жер кадастрі, Жылжымайтын мүлік
- Журналистика
- Информатика
- Кеден ісі
- Маркетинг
- Математика, Геометрия
- Медицина
- Мемлекеттік басқару
- Менеджмент
- Мұнай, Газ
- Мұрағат ісі
- Мәдениеттану
- ОБЖ (Основы безопасности жизнедеятельности)
- Педагогика
- Полиграфия
- Психология
- Салық
- Саясаттану
- Сақтандыру
- Сертификаттау, стандарттау
- Социология, Демография
- Спорт
- Статистика
- Тілтану, Филология
- Тарихи тұлғалар
- Тау-кен ісі
- Транспорт
- Туризм
- Физика
- Философия
- Халықаралық қатынастар
- Химия
- Экология, Қоршаған ортаны қорғау
- Экономика
- Экономикалық география
- Электротехника
- Қазақстан тарихы
- Қаржы
- Құрылыс
- Құқық, Криминалистика
- Әдебиет
- Өнер, музыка
- Өнеркәсіп, Өндіріс
Қазақ тілінде жазылған рефераттар, курстық жұмыстар, дипломдық жұмыстар бойынша біздің қор #1 болып табылады.

Ақпарат
Қосымша
Email: info@stud.kz