Бүгінгі сайысқа қатынасушы топтармен таныстырып өтейін

Интеллектуалдық олимпиада
«Математика - ғажайып әлем» атты математика апталығында 7 - сыныптар арасында өткізілген интелектуалдық олимпиаданың жүрісін ұсынып отырмын.
Тақырыбы: Интеллелтуалдық олимпиада
Мақсаты:
Білімділік: Оқушылардың зеректік қабілетін дамытып ой өрісін кеңейту, білімге деген құштарлығын арттыру, озық ойлы, білімді оқушыны анықтау.
Дамытушылық: оқушылардың дүниетанымын, білімге қызығушылығын және ойлау қабілеттерін дамыту.
Тәрбиелік: Өз мүмкіндігін дұрыс пайдалана алатын зейінді тұлғаны тәрбиелеу.
Түрі: Сайыс
Көрнекілігі: Нақыл сөздер жазылған плакаттар, интерактивті тақта, слайдтар, қалақшалар.
Жүрісі: І Таныстыру
ІІ «Сен білесің бе?»
ІІІ «Формулалар әлемі»
ІҮ «Артық сөзді тап»
Ү «Нар тәуекел»
ҮІ «Кім жүйрік?»
Жүргізуші: Қайырлы күн құрметті ұстаздар, ойынға қатынасушылар және қонақтар. Бүгінгі 7 - сыныптар арасында өткелі отырған «Интеллектуалдық олимпиадаға» қош келдіңіздер»! Бүгінгі сайысқа қатынасушы топтармен таныстырып өтейін:
7 а сыныбынан құралған - «Болашақ» тобы
7 б сыныбынан құралған - «Ұлан» тобы
7 в сыныбынан құралған - «Білгірлер» тобы
7 г сыныбынан құралған - «Алғырлар» тобы
Сайысымызды бастамас бұрын ойыншыларға төрелік ететін әділ қазылармен таныс болыңыздар!
- Әділқазылар алқасының төреайымы -
- Мүшесі -
- Мүшесі -
Жүргізуші: Ғылымның сырын ұғына,
Шығыңдар білім шыңына.
Ұқыптылық пен зеректік,
Жеткізер сіздердей өренді.
Жеңістің мынау шыңына, - дей келе сайыскерлерімізге сәт - сапар тілейміз. .
Жүргізуші: Бүгінгі сайысымыздың алғашқы бөлімі «Таныстыру». Бұл бөлімде әр топ өздерін таныстырып, мақсаттары мен ұрандарын айтады. Қойылатын ұпай саны 5 пен 10 ұпай аралығында.
Жүргізуші: Сайысымыздың келесі бөлімі «Сен білесің бе?» деп аталады. Бұл бөлімде әр топқа 5 сұрақтан оқылады топ мүшелері иә немесе жоқ деп жауап беру керек. Дұрыс жауапқа 10 ұпайдан қойылады
І топ сұрақтары
- Таңбалары әр түрлі сандардың бөліндісі теріс сан(иә)
- 5-ке қарама-қарсы сан 5(жоқ)
- 900градусқа тең бұрыш тік бұрыш (иә)
- 1/3 - ке кері сан -3(жоқ)
- Алымы бөлімінен үлкен бөлшек дұрыс бөлшек (жоқ)
ІІ топ сұрақтары
- Екі теріс санның көбейтіндісі оң сан
- 1/8 кері сан 8
- Толық бұрыш 1800- қа тең
- 7 сыныптың «Алгебра» оқулығының авторы Әбілқасымова
- 24дәрежесі 32 тең
ІІІ топ сұрақтары
- Теріс сандардың қосындысы оң сан
- 60 - қа қарама қарсы сан -60
- 900- тан кіші бұрыш доғал бұрыш
- Дөңгелектің бойындаға кез келген нүктемен центрін қосатын кесінде диаметр
- 35дәрежесі 243 ке тең
ІҮ топ сұрақтары
- Оң сандардың көбейтіндісі оң сан
- 99 - ға кері сан -1/99
- 900- тан үлкен бұрыш доғал бұрыш
- 7 сыныптың «Геометрия» оқулығы «Мектеп» баспасынан шыққан
- Бөлімі алымынан кіші бөлшек дұрыс бөлшек
Жүргізуші: Ойлы-ойлы тереңнен,
Жақсы емес көп бөгелген.
Формуланы білмесең,
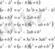
Өте алмайсың көпірден - деп «Формулалар әлемінде» атты сайысына кезек берелік. Бұл сайыстын шарты көрсетілген формуланың жалғасын табуы керек. Қалақшаны бірінші көтерген топ жауап береді. Бірінші көтерген топтың жауабы дұрыс болмаса кезекті қалақшаны екінші көтерген топқа береміз. Егер ол топта дұрыс жауап бермесе жауабын экран бетінен біле аласыздар. Әр дұрыс жауап 20 ұпаймен бағаланады.
Жүргізуші: Білімінің ұшқырлығын танып сен,
Асып тасып, асықпа, қалыспа сен.
Уақыт деген зымырап, зулап жатыр,
Шапшандық бұл сайыста керек екен. Келесі бөліміміз «Артық сөзді тап» деп аталады. Бұл бөлімде көрсетілген сөздердің ішінде біреуі артық болады сол сөзді алып тастау керек. Артық сөзді қағазға жазып барлық топ бірдей көтереді. Дұрыс жауапқа 10 ұпай беріледі.
- іткпа кітап 3. олқғпа қолғап
зеатг газет ұлшқы шұлық
жарнул журнал фашр шарф
оуқлқы оқулық іткап кітап
ызғысш сызғыш
- алақм қалам 4. кйөекл көйлек
ранашадқ қарандаш албшар шалбар
өрішігш өшіргіш птьаол пальто
зсышығ сызғыш иркцьлу цирькул
үлг гүл
Жүргізуші: Ойын толқын жатқандай асып тасып,
Біреу мығым, біреулер шалыс басып.
Бұл ойынан өтеді ғұлама ойлар,
- Іс жүргізу
- Автоматтандыру, Техника
- Алғашқы әскери дайындық
- Астрономия
- Ауыл шаруашылығы
- Банк ісі
- Бизнесті бағалау
- Биология
- Бухгалтерлік іс
- Валеология
- Ветеринария
- География
- Геология, Геофизика, Геодезия
- Дін
- Ет, сүт, шарап өнімдері
- Жалпы тарих
- Жер кадастрі, Жылжымайтын мүлік
- Журналистика
- Информатика
- Кеден ісі
- Маркетинг
- Математика, Геометрия
- Медицина
- Мемлекеттік басқару
- Менеджмент
- Мұнай, Газ
- Мұрағат ісі
- Мәдениеттану
- ОБЖ (Основы безопасности жизнедеятельности)
- Педагогика
- Полиграфия
- Психология
- Салық
- Саясаттану
- Сақтандыру
- Сертификаттау, стандарттау
- Социология, Демография
- Спорт
- Статистика
- Тілтану, Филология
- Тарихи тұлғалар
- Тау-кен ісі
- Транспорт
- Туризм
- Физика
- Философия
- Халықаралық қатынастар
- Химия
- Экология, Қоршаған ортаны қорғау
- Экономика
- Экономикалық география
- Электротехника
- Қазақстан тарихы
- Қаржы
- Құрылыс
- Құқық, Криминалистика
- Әдебиет
- Өнер, музыка
- Өнеркәсіп, Өндіріс
Қазақ тілінде жазылған рефераттар, курстық жұмыстар, дипломдық жұмыстар бойынша біздің қор #1 болып табылады.

Ақпарат
Қосымша
Email: info@stud.kz