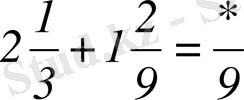
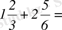
Топ сұрақтары

Сабақтың тақырыбы: Аралас сандарды қосу
Сабақтың мақсаты:
- Аралас сандарды қосу кезіндегі оқушылардың білмдерін жүйелеу
- Оқушылардың ойлау қабілеттерін дамыта отырып, интеллектуалдығын қалыптастыру
- Өзін-өзі басқаруға, ұйымшылдыққа, ұқыптылыққа тәрбиелеу
Сабақтың түрі: бекіту сабағы
Көрнекілігі: таблицалар, дидактикалық материалдар, тест, бағалау парағы
Сабақтың барысы:
І кезең. Оқушылардың сабаққа қатысуын, даярлығын тексеру.
ІІ кезең. Ойынды өткізудегі мақсаты (ойынның түрі, ережесі, т. б. шартымен таныстыру)
Дұрыс жауап - 5 ұпай
Толық емес жауап - 3 ұпай
Қате жауап - 0 ұпай
І топ - оқушы
ІІ топ - оқушы
І бөлім. «Кім жылдам?» сұрақтарға жауап беру.
Әр топқа 5 сұрақ беріледі.
І топ сұрақтары
1. Дұрыс бөлшек дегеніміз не?
2. Дұрыс бөлшектерді қалай салыстырамыз?
3. Бөлімдерді бірдей бөлшектерді қалай қосамыз?
4. Радиус дегеніміз не?
5. Аралас сан дегеніміз не?
ІІ топ сұрақтары
1. Бұрыс бөлшек дегеніміз не?
2. Алымдары бірдей бөлшектерді қалай салыстырамыз?
3. Бөлімдері әр түрлі бөлшектерді қалай қосамыз?
4. Диаметр дегеніміз не?
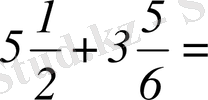
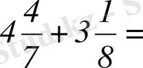
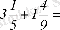
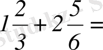
5. Аралас сандарды қалай қосамыз?
ІІ бөлім. «Тез есептей білеміз бе?»
Әр топқа карточка бойынша есептер беріледі.
І топ есептері
Ө
Е
Ш
Б
К
Л






ІІ топ есептері
У
Д
А
Р
И
С






ІІІ бөлім. Жасырылған санды тап .
Әр топ кезекпен ұяшықтарды таңдайды. Әр дұрыс жауапқа 10 ұпай алады .
«1»
«2»
«3»
«4»
«5»
«6»
«7»
«8»
«9»
«10»
«11»
«12»
ІҮ бөлім. «Математикалық диктант». Екі топқа математикалық ережелер беріледі. Әр дұрыс жауап 5 ұпай.
Топ сұрақтары.
1. Егер бөлшектің алымы бөлімінен кіші болса, онда бөлшек . . . деп аталады.
2. Бөлшектің алымын да, бөлімін де бірдей санға бөлуді . . . деп атайды.
3. Егер бөлшектің алымы бөліміне үлкен болса, онда бөлшек . . . деп аталады.
4. Берілген натурал сандардың . . . деп сол сандрдың әрқайсысы бөлінетін ең үлкен санды айтады.
5. Берілген натурал сандардың әрқайсысына еселік болатын ең кіші натурал санды, сол сандардың . . . деп атайды.
Ү бөлім. Тест жұмысы
І нұсқа
1.
А.
В.
С.
2.
А.
В.
С.
3.
А.
В.
С.
ІІ нұсқа
1.
А.
В.
С.
2.
А.
В.
С.
3.
А.
В.
С.
ҮІ бөлім. «Эрудит» бөлімі. Әр топқа сұрақ беріледі. Дұрыс жауап 20 ұпай.
І топ сұрағы
Оқушы сан ойлады. Ойлаған саннан
-ні азайтқанда, 240 санынан 60 есе кіші сан шығады. Оқушы қандай сан ойлады?
ІІ топ сұрағы
Оқушы сан ойлады. Ойлаған саннан
-ті азайтқанда, 450 санынан 90 есе кіші сан шығады. Оқушы қандай сан ойлады?
ІІІ кезең. Қорытындылау.
Бекіту сұрақтары :
- Жай бөлшектерді қалай қосамыз?
- Аралас сандарды қалай қосамыз?
ІҮ кезең. Бағалау
Ү кезең. Үйге тапсырма. №681, 683
Абай атындағы орта мектебі, мектепке дейінгі шағын орталығы
Пән мұғалімі: Қуанышева Сауле
Ақын Сара ауылы
І нұсқа
1.
А.
В.
С.
2.
А.
В.
С.
3.
А.
В.
С.
ІІ нұсқа
1.
А.
В.
С.
2.
А.
В.
С.
3.
А.
В.
С.
І нұсқа
1.
А.
В.
С.
2.
А.
В.
С.
3.
А.
В.
С.
ІІ нұсқа
1.
А.
В.
С.
2.
А.
В.
С.
3.
А.
В.
С.
І топ есептері
Ө
Е
Ш
Б
К
Л






ІІ топ есептері
У
Д
А
Р
И
С






«Математикалық диктант»
1. Егер бөлшектің алымы бөлімінен кіші болса, онда бөлшек . . . деп аталады.
2. Бөлшектің алымын да, бөлімін де бірдей санға бөлуді . . . деп атайды.
3. Егер бөлшектің алымы бөліміне үлкен болса, онда бөлшек . . . деп аталады.
4. Берілген натурал сандардың . . . деп сол сандрдың әрқайсысы бөлінетін ең үлкен санды айтады.
5. Берілген натурал сандардың әрқайсысына еселік болатын ең кіші натурал санды, сол сандардың . . . деп атайды.
«Математикалық диктант»
1. Егер бөлшектің алымы бөлімінен кіші болса, онда бөлшек . . . деп аталады.
2. Бөлшектің алымын да, бөлімін де бірдей санға бөлуді . . . деп атайды.
3. Егер бөлшектің алымы бөліміне үлкен болса, онда бөлшек . . . деп аталады.
4. Берілген натурал сандардың . . . деп сол сандрдың әрқайсысы бөлінетін ең үлкен санды айтады.
5. Берілген натурал сандардың әрқайсысына еселік болатын ең кіші натурал санды, сол сандардың . . . деп атайды.
- Іс жүргізу
- Автоматтандыру, Техника
- Алғашқы әскери дайындық
- Астрономия
- Ауыл шаруашылығы
- Банк ісі
- Бизнесті бағалау
- Биология
- Бухгалтерлік іс
- Валеология
- Ветеринария
- География
- Геология, Геофизика, Геодезия
- Дін
- Ет, сүт, шарап өнімдері
- Жалпы тарих
- Жер кадастрі, Жылжымайтын мүлік
- Журналистика
- Информатика
- Кеден ісі
- Маркетинг
- Математика, Геометрия
- Медицина
- Мемлекеттік басқару
- Менеджмент
- Мұнай, Газ
- Мұрағат ісі
- Мәдениеттану
- ОБЖ (Основы безопасности жизнедеятельности)
- Педагогика
- Полиграфия
- Психология
- Салық
- Саясаттану
- Сақтандыру
- Сертификаттау, стандарттау
- Социология, Демография
- Спорт
- Статистика
- Тілтану, Филология
- Тарихи тұлғалар
- Тау-кен ісі
- Транспорт
- Туризм
- Физика
- Философия
- Халықаралық қатынастар
- Химия
- Экология, Қоршаған ортаны қорғау
- Экономика
- Экономикалық география
- Электротехника
- Қазақстан тарихы
- Қаржы
- Құрылыс
- Құқық, Криминалистика
- Әдебиет
- Өнер, музыка
- Өнеркәсіп, Өндіріс
Қазақ тілінде жазылған рефераттар, курстық жұмыстар, дипломдық жұмыстар бойынша біздің қор #1 болып табылады.

Ақпарат
Қосымша
Email: info@stud.kz