Модуль таңбасы бар теңдеулер

Модуль таңбасы бар теңдеулер
Дүйісова Әбила Ақшүкірқызы
Сабақтың мақсаты:
Білімділік: Модуль таңбасы бар теңдеулерді шешудің әр түрлі тәсілдерін үйрену.
Дамытушылық: Ойлау жүйелілігін арттыру. Модуль таңбасы бар теңдеулерді шешу жөніндегі білімдерін кеңейту.
Тәрбиелік: Іздену, бақылау арқылы дүние-таным қабілеттерін қалыптастыру.
Сабақтың көрнекілігі: Интерактивті тақта, тест
Сабақтың типі: Жетілдірілген сабақ
Сабақтың түрі: Семинар сабақ
І. Ұйымдастыру бөлімі
ІІ. Үй жұмысын тексеру (сканермен)
№129
1)
2)
-1;
1.
ІІІ. Негізгі бөлімі
Сабақ жоспарымен таныстыру
1. Теориялық бөлім
2. Практикалық бөлім
а) Мысалдар
б) Бекіту №130 (1, 2)
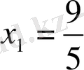
1.
2.
19 В -5 есеп (тест)
Жауабы:
312 -в (байқау кітабы) №100 (конкурстық есеп)
Ж.
а)
б)
Жауабы:
Е)
1)
2)
3)
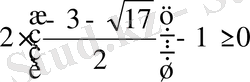
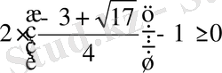
шартын тексеру
тура емес
тура
тура емес
тура
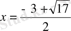
Сонымен
және
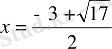
түбірлерінің
шартын қанағаттандыратыны аламыз
Жауабы:
- Іс жүргізу
- Автоматтандыру, Техника
- Алғашқы әскери дайындық
- Астрономия
- Ауыл шаруашылығы
- Банк ісі
- Бизнесті бағалау
- Биология
- Бухгалтерлік іс
- Валеология
- Ветеринария
- География
- Геология, Геофизика, Геодезия
- Дін
- Ет, сүт, шарап өнімдері
- Жалпы тарих
- Жер кадастрі, Жылжымайтын мүлік
- Журналистика
- Информатика
- Кеден ісі
- Маркетинг
- Математика, Геометрия
- Медицина
- Мемлекеттік басқару
- Менеджмент
- Мұнай, Газ
- Мұрағат ісі
- Мәдениеттану
- ОБЖ (Основы безопасности жизнедеятельности)
- Педагогика
- Полиграфия
- Психология
- Салық
- Саясаттану
- Сақтандыру
- Сертификаттау, стандарттау
- Социология, Демография
- Спорт
- Статистика
- Тілтану, Филология
- Тарихи тұлғалар
- Тау-кен ісі
- Транспорт
- Туризм
- Физика
- Философия
- Халықаралық қатынастар
- Химия
- Экология, Қоршаған ортаны қорғау
- Экономика
- Экономикалық география
- Электротехника
- Қазақстан тарихы
- Қаржы
- Құрылыс
- Құқық, Криминалистика
- Әдебиет
- Өнер, музыка
- Өнеркәсіп, Өндіріс
Қазақ тілінде жазылған рефераттар, курстық жұмыстар, дипломдық жұмыстар бойынша біздің қор #1 болып табылады.

Ақпарат
Қосымша
Email: info@stud.kz