Сабақтың мақсаты. Сабақ барысы

ГЕОМЕТРИЯЛЫҚ ПРОГРЕССИЯНЫҢ АЛҒАШҚЫ n МҮШЕСІНІҢ ҚОСЫНДЫСЫ
Романова Камила Айдарханқызы
№184 негізгі мектебінің математика пәні мұғалімі.
Қожакент ауылы, Жаңақорған ауданы, Қызылорда обылысы.
Пәні: Алгебра
Сыныбы: 9
Cабақтың тақырыбы: Геометриялық прогрессияның
алғашқы n мүшесінің қосындысы
Сабақтың мақсаты:
а) білімділік:
геометриялық прогрессияның алғашқы n мүшесінің қосындысын есептеу формуласын меңгерту және оны есептер шығару барысында қолдана білуге дағдылау.
ә) дамытушылық:
оқушылардың ойлау қабілетін дамыту, пәнге және шахмат ойынына қызығушылығын арттыру.
б) тәрбиелік:
оқушылардың белсенділігін арттыру, тапқырлыққа, жылдамдыққа, ұйымшылдыққа тәрбиелеу.
Сабақ типі:
жаңа тақырыпты меңгерту.
Сабақ түрі:
жарыс сабақ.
Сабақ әдісі:
сұрақ- жауап, топтық жұмыс.
Сабақтың құралдары мен көрнекілігі:
интерактивті тақта, бағалау парақтары, шахмат тақтасы.
Сабақ барысы:
І. Ұйымдастыру кезеңі:
1. Сәлемдесу, оқушыларды түгелдеу.
2. Сабаққа дайындықты тексеру.
3. Зейінді сабаққа аудару
4. Үш топқа бөлу: топтардың көшбасшыларына сұрағы бар, ал басқа оқушыларға тізбек мүшелері жазылған үлестірмелер таратылады. Көшбасшылар сұраққа жауап бере отырып өз тізбегінің мүшелерін жинайды.
1) Сұрақтар:
«Сандар тізбегі» тобының көшбасшысына: Жұп сандардан тұратын тізбектің алғашқы бес мүшесін тап. (2; 4; 6; 8; 10)
«Арифметикалық прогрессия» тобының көшбасшысына: а 1 =1; d=2 болатын арифметикалық прогрессияның алғашқы бес мүшесін тап. (1; 3; 5; 7; 9)
«Геометриялық прогрессия» тобының көшбасшысына: в 1 =-1; q=2 болатын геометриялық прогрессияның алғашқы бес мүшесін тап. (-2; -4; -8; -16; -32)
Топтар сабақтың әр кезеңінде тапсырмаларды орындап, ұпайлар санын жинайды.
ІІ. Үй жұмысын тексеру:
2) №213, есептің шешімдерін интерактивті тақтамен салыстырып тексеру. /топтағы әр оқушының дұрыс жауабына 1 ұпай/
3) Әр топ өз топтарының аты жайында 3 мәлімет беру. /3 ұпай/
ІІІ. Жаңа тақырыпты меңгерту:
Үнді аңыздары бойынша, билеуші Шерам шахматпен ең алғаш танысқан кезде, оның өзгешелігіне, әр түрлі әдемі комбинациялардың байлығына масаттанды. Ал осы ойынды ойлап шығарған дана оның қол астында екенін біліп, билеуші оған ерекше алғыс білдіргісі келді. Сонда әмірші үнді данышпанның кез келген бұйымтайын орындауға уәде береді. Ал дана оны бидай дәнімен таң қалдырады. Берілген шарт бойынша данышпанға шахмат тақтасының бірінші шаршысына бір, екінші шаршысына екі, ал келессі шаршыларға бұрынғыдан екі есе артық бидай дақылдары берілуі тиіс еді. Яғни, 1; 2; 4; 8; 16; 32; … .
S=1+2+2²+2 3 +2 4 + . . . +2 62 +2 63
2* S=2+2²+2 3 +2 4 + . . . +2 63 +2 64
S=2 64 -1
және билеуші осы санның қанша екенін білмей, оны данаға лезде беруді бұйырды. Магараджи есептеушілері бұл санды түні бойы есептеп, таңертен ғана математикалық шешімге келіп, оның мүмкін емес екенін әміршіге түсіндіреді. Себебі данышпан айтқан сан бүкіл Үндістанның бидай дәндер санына, тіпті бүкіл әлемнің бидай дәндері санына жетпейді екен.
Еселігі q≠1 геометриялық прогрессиясының алғашқы n мүшесінің қосындысын есептеу үшін жоғарыдағы әдісті қолданамыз:
S n =b 1 +b 2 +b 3 +…+b n (1)
b n =b 1 *q n-1 формуласын қолдансақ, онда (1) теңдікті былай жазуға болады:
S n =b 1 +b 1 q +b 1 q 2 +b 1 q 3 +…+b n q n-1 (2) / q-көбейтсек
q S n =b 1 q+b 1 q 2 +b 1 q 3 +…+b n q n (3)
Енді (1) теңдік пен (3) теңдікті мүшелеп азайтсақ:
S n -qS n =b 1 -b1q n
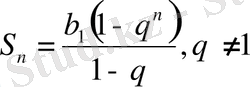
бұдан: (1-q) S n =b 1 (1-q n )
немесе
(4)
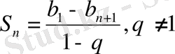
Немесе:
(5)
Егер q>1 болған жағдайда мына формуланы қолданған ыңғайлы:
(6)
ІV. Сабақты бекіту:
4) Топтық жұмыс: b 1 =2, q=3, S 4 =? (мүшелеп қосып есептеу және формуламен есептеу, салыстыру) /2 ұпай/
Тапсырма орындалғаннан кейін слайд арқылы шахмат ойынының ережесі таныстырылады.
5) Топтық жұмыс: №222 есеп. Әр топ бірлесіп шешіп, 1 оқушы тақтада шешуін көрсетеді. /3 ұпай/
Тапсырма орындалғаннан кейін слайд арқылы, шахмат тақтасы арқылы шахмат тастарының жүрістері көрсетіледі.
V. Сергіту сәті: Екі оқушыға шахмат ойынын ойнату.
6) Өздік жұмыс. Деңгейлік тапсырмалар:
А
Геометриялық прогрессияда: в 1 = 1, q = 3 болса, оның алғашқы үш мүшесінің қосындысын табыңыз.
В
Геометриялық прогрессияда: b 1 = -0, 3; b 2 = -0, 6 болса, оның алғашқы алты мүшесінің қосындысын табыңыз.
С
в 1 = 2, q=3, S 3 = 26 өспелі геометриялық прогрессиясының төртінші мүшесін табыңыз. /топтағы әр оқушының әрбір дұрыс жауабына 1 ұпай/
VI. Сабақты қорытындылау:
Формулаларды қайталау.
Өнертапқыштың тапқырлығының нәтижесінде патшаға 18446744073709551615
бидай дәнегі қажет болып шығады. (18 квинтильон 446 квадрильон 744 триллион 73 биллион 709 миллион 551 мың 615)
VII. Бағалау:
Бағалау парағы бойынша топтық жұмыстың қорытындысы және белсенді оқушыларды бағалау.
VIII. Үйге тапсырма беру:
Геометриялық прогрессиясының алғашқы n мүшесінің қосындысы тақырыбын оқу, формулаларды білу. № 224 есептерді шешу және кестені толтыру.
- Іс жүргізу
- Автоматтандыру, Техника
- Алғашқы әскери дайындық
- Астрономия
- Ауыл шаруашылығы
- Банк ісі
- Бизнесті бағалау
- Биология
- Бухгалтерлік іс
- Валеология
- Ветеринария
- География
- Геология, Геофизика, Геодезия
- Дін
- Ет, сүт, шарап өнімдері
- Жалпы тарих
- Жер кадастрі, Жылжымайтын мүлік
- Журналистика
- Информатика
- Кеден ісі
- Маркетинг
- Математика, Геометрия
- Медицина
- Мемлекеттік басқару
- Менеджмент
- Мұнай, Газ
- Мұрағат ісі
- Мәдениеттану
- ОБЖ (Основы безопасности жизнедеятельности)
- Педагогика
- Полиграфия
- Психология
- Салық
- Саясаттану
- Сақтандыру
- Сертификаттау, стандарттау
- Социология, Демография
- Спорт
- Статистика
- Тілтану, Филология
- Тарихи тұлғалар
- Тау-кен ісі
- Транспорт
- Туризм
- Физика
- Философия
- Халықаралық қатынастар
- Химия
- Экология, Қоршаған ортаны қорғау
- Экономика
- Экономикалық география
- Электротехника
- Қазақстан тарихы
- Қаржы
- Құрылыс
- Құқық, Криминалистика
- Әдебиет
- Өнер, музыка
- Өнеркәсіп, Өндіріс
Қазақ тілінде жазылған рефераттар, курстық жұмыстар, дипломдық жұмыстар бойынша біздің қор #1 болып табылады.

Ақпарат
Қосымша
Email: info@stud.kz