Интегралды есептеңдер

Бақылау жұмысы №1
І- нұсқа.
А деңгейі.
1. f(х) функциясының F алғашқы функциясын табыңдар егер:
а) f(х)
, F
![]()
ә) f(х) =
, F
![]()
2. Интегралды есептеңдер.
а)
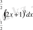
ә)
![]()
3. Берілген сызықтармен шектелген фигураның ауданын табыңдар.
у═4x-x²¸ y=4-x
В деңгейі.
1. Берілген функцияның алғашқы функциясының жалпы түрін жазыңдар.
а) f(х) = sin²x ә) f(х) =
![]()
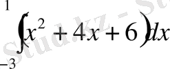
2. Интегралды есептеңдер.
![]()
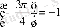
3. х-тің қандай мәндерінде берілген теңдіктер орындалады.
![]()
С деңгейі.
1. Берілген сызықтармен шектелген фигураның ауданын табыңдар.
y=2-x¸ y=x³
2. Интегралдың ең кіші және ең үлкен мәндерін табыңдар
а, в
![]()
Бақылау жұмысы №1
ІІ- нұсқа.
А деңгейі.
1. f(х) функциясының F алғашқы функциясын табыңдар егер:
а) f(х)
, F
![]()
ә) f(х) =
, F
![]()
2. Интегралды есептеңдер.
а)
ә)
![]()
3. Берілген сызықтармен шектелген фигураның ауданын табыңдар.
у═x²+1¸ y=x+3
В деңгейі.
1. Берілген функцияның алғашқы функциясының жалпы түрін жазыңдар.
а) f(х) = cos²x ә) f(х) =
![]()
2. Интегралды есептеңдер.
![]()
3. х-тің қандай мәндерінде берілген теңдіктер орындалады.
![]()
С деңгейі.
1. Берілген сызықтармен шектелген фигураның ауданын табыңдар.
y=1-x-1¸ y=1-
![]()
2. Интегралдың ең кіші және ең үлкен мәндерін табыңдар
α
![]()
- Іс жүргізу
- Автоматтандыру, Техника
- Алғашқы әскери дайындық
- Астрономия
- Ауыл шаруашылығы
- Банк ісі
- Бизнесті бағалау
- Биология
- Бухгалтерлік іс
- Валеология
- Ветеринария
- География
- Геология, Геофизика, Геодезия
- Дін
- Ет, сүт, шарап өнімдері
- Жалпы тарих
- Жер кадастрі, Жылжымайтын мүлік
- Журналистика
- Информатика
- Кеден ісі
- Маркетинг
- Математика, Геометрия
- Медицина
- Мемлекеттік басқару
- Менеджмент
- Мұнай, Газ
- Мұрағат ісі
- Мәдениеттану
- ОБЖ (Основы безопасности жизнедеятельности)
- Педагогика
- Полиграфия
- Психология
- Салық
- Саясаттану
- Сақтандыру
- Сертификаттау, стандарттау
- Социология, Демография
- Спорт
- Статистика
- Тілтану, Филология
- Тарихи тұлғалар
- Тау-кен ісі
- Транспорт
- Туризм
- Физика
- Философия
- Халықаралық қатынастар
- Химия
- Экология, Қоршаған ортаны қорғау
- Экономика
- Экономикалық география
- Электротехника
- Қазақстан тарихы
- Қаржы
- Құрылыс
- Құқық, Криминалистика
- Әдебиет
- Өнер, музыка
- Өнеркәсіп, Өндіріс
Қазақ тілінде жазылған рефераттар, курстық жұмыстар, дипломдық жұмыстар бойынша біздің қор #1 болып табылады.

Ақпарат
Қосымша
Email: info@stud.kz