«Квадрат теңдеу түбірлерінің формулалары»

Ақтөбе облысы, Мұғалжар ауданы, Юбилей орта мектебінің математика пәнінің мұғалімі Аяпбергенов Сәкен Сайлауұлы.
Тақырыбы : «Квадрат теңдеу түбірлерінің формулалары»
Сабақтың мақсаты :
Білімділік : Оқушылардың квадрат теңдеулерді және оған келтірілетін теңдеулерді шешу дағдыларын жетілдіру.
Дамытушылық : дәстүрден тыс ойлай білу, математикалық тіл, өзіндік және шығармашылық белсенділіктерін және тест материалдарымен жұмыс істей білуді дамыту.
Тәрбиелік : Оқушылардың ой шапшаңдығына, нақтылыққа, дәлдікке, ынтымақтыстыққа тәрбиелеу.
Сабақтың түрі : аралас
Сабақтың типі: практикалық жұмыс
Әдісі :түсіндіру, көрнекілік арқылы, тапсырмалар, есептер шығару
Қолданылатын құрылғы: Интерактивті тақта, компьютер.
Сабақтың барысы:
1. Ұйымдастыру
2. Өткен тақырыптар бойынша қайталау сұрақтары. (Сұрақтар перде құрал сайманымен жабулы тұрады. Әрбір сұрақтың жауабы оқушы жауабынан кейін ашылып тексеріліп отырады)
1. Квадрат теңдеудің анықтамасын айтыңдар
ах2+вх+с=0 (a≠0) түріндегі теңдеу
2. Мұндағы а, в, с -ға тоқталып өтіңдер
а - бірінші коэффициенті в - екінші коэффициенті, с - босмүше
3. Келтірілген квадрат теңдеу анықтамасы
Егер а=1 онда квадрат теңдеу келтірілген квадрат теңдеу деп аталады.
4. Толымсыз квадрат теңдеу дегеніміз қандай теңдеулер, үш түріне тоқталыңдар
ax2+bx=0, c=0 ax2+c=0, b=0 ax2=0, b=0, c=0
толымсыз квадрат теңдеулер болып табылады.
5. Толымсыз квадрат теңдеулерді қалай шешеміз?
1. ax2+bx=0, c=0
2. ax2+c=0, b=0
x(ax+b) =0 ax2 =-c
x=0 ax+b=0 x2= - c
ax=-b a
x=-b x1=√- c x2=-√- c
a a a
3. ax2=0, b=0, c=0
х1=x2=0
3. Өткен тақырыптарға тапсырмалар
1. Сызықтық теңдеулер мен квадрат теңдеулер араластырып жазылады. Оқушы әр теңдеуді өз орнына жылжытып апаруы керек
Сызықтық теңдеулер Квадрат теңдеулер
5x+10=0 -4x-8=0 -x 2 +7=0 3x 2 -2=0
2. Квадрат теңдеудің түрлерін өз атауларының тұсына апарып қою керек
ax2+bx=0, c=0 ax2+c=0, b=0 ах2+вх+с=0 (a≠0) ax2=0, b=0, c=0
x2+px+q=0
4. Үй тапсырмасын тексеру
9х 2 +2х+7=0 6t 2 +5t+2=0
5. Жаңа тақырып түсіндіру
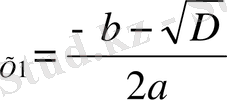
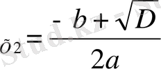
ах2+вх+с=0 (a≠0)
D= b2 - 4ac.
 D > 0 теңдеудің екі түбірі болады
  ;
 ;
  
  D = 0 бір түбірі болады
 D = 0 бір түбірі болады
  
D < 0 шешімі жоқ
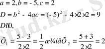
Мысалдар 2x2- 5x + 2 = 0
  
Формулаларды пайдаланып теңдеулерді шеше білу .
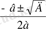
Д- дискриминант
Д= в2-4ас
 Х1/2=
  
D>0 / 2 түбір
D<0 /түбірі жоқ
D=0/ 1 түбір
Мысалы : 1) 2х2+3х-5=0, Д=49
2) 25 х2-10х+1=0, Д=0
3) 9х2-3х+2=0, Д=-63
6. Ойын «Зымыранға кім тез отырады»
Ойын топпен ойналады. Әр топқа келесі тапсырмалар беріледі:
1. Өрнектін мәнін табу:
2. Теңдеуді шешу:
3. Теңдеудің
  
Тақтаға әр топтан оқушы шығады. Бірінші тапсырманы шығарып, жауабын бірінші сатыға жазады, оларды топтын келесі мушесі шығып шығарады «Кім тез шығарып сатымен зымыранға отырады» сол жеңеді .
Жауаптары:
7. Сабақты бекіту:
Графиктік диктант. (слайдпен)
1) z4-2z2-8=0 -биквадрат теңдеу
2) х2+12х+36=0 -толымсыз квадрат теңдеу
3) 2у2-у+3=0- теңдеуінің коэффициенттері а=2, b=-1, c=3
4) х2-3х+2=0 теңдеуінің түбірлері 0 және 1.
8. Бағалау.
Сабақтың басында оқушыларға бірнеше жұлдызша беріледі, олар шығарған есептері бойынша бір жұлдызшадан есептеп отырады 1-3 жұлдыз жинаған оқушыға -3, 4-5 жұлдызшаға-4, 5 немесе одан да көп жинаған оқушыға -5 деген баға қойылады, Оқушылардың жұлдызшаларына байланысты мұғалім интерактивті тақтадағы кестеге оқушылардың аттарын толтырады.
9. Үйге тапсырма: № 256 есеп
10. Қорытынды.
- Іс жүргізу
- Автоматтандыру, Техника
- Алғашқы әскери дайындық
- Астрономия
- Ауыл шаруашылығы
- Банк ісі
- Бизнесті бағалау
- Биология
- Бухгалтерлік іс
- Валеология
- Ветеринария
- География
- Геология, Геофизика, Геодезия
- Дін
- Ет, сүт, шарап өнімдері
- Жалпы тарих
- Жер кадастрі, Жылжымайтын мүлік
- Журналистика
- Информатика
- Кеден ісі
- Маркетинг
- Математика, Геометрия
- Медицина
- Мемлекеттік басқару
- Менеджмент
- Мұнай, Газ
- Мұрағат ісі
- Мәдениеттану
- ОБЖ (Основы безопасности жизнедеятельности)
- Педагогика
- Полиграфия
- Психология
- Салық
- Саясаттану
- Сақтандыру
- Сертификаттау, стандарттау
- Социология, Демография
- Спорт
- Статистика
- Тілтану, Филология
- Тарихи тұлғалар
- Тау-кен ісі
- Транспорт
- Туризм
- Физика
- Философия
- Халықаралық қатынастар
- Химия
- Экология, Қоршаған ортаны қорғау
- Экономика
- Экономикалық география
- Электротехника
- Қазақстан тарихы
- Қаржы
- Құрылыс
- Құқық, Криминалистика
- Әдебиет
- Өнер, музыка
- Өнеркәсіп, Өндіріс
Қазақ тілінде жазылған рефераттар, курстық жұмыстар, дипломдық жұмыстар бойынша біздің қор #1 болып табылады.
 
            
                Ақпарат
Қосымша
Email: info@stud.kz