Тік бұрышты үшбұрыштың синусы, косинусы,тангенсі

№ 4 орта мектебі
Ашық сабақ
«Тік бұрышты үшбұрыштың сүйір бұрышының синусы, косинусы, тангенсі және котангенсі»
8 «а» сынып
Математика пәні мұғалімі:
Ағадиева Қ. И.
Шалқар қаласы
Күні:
28. 11. 2012
Сабақ тақырыбы: Тік бұрышты үшбұрыштың сүйір бұрышының синусы,
косинусы, тангенсі және котангенсі
Сабақтың мақсаты:
Білімділік: Оқушыларға тік бұрышты үшбұрыштың сүйір бұрышының
синусы, косинусы тангенсі және котангенсі туралы ұғым
беріп, білімдерін есеп шығарту барысында жетілдіру.
Дамытушылық: Өз бетімен ойлау қабілеттерін арттыру, өз білімін
тексеріп, бағалауға дағдыландыру, өз ойын нақты жеткізе білуге үйрету.
Тәрбиелік: Оқушылардың пәнге деген қызығушылығын арттыру, жүйелі түрде ойлауға, өз ойын нақты айтуға үйрету.
Сабақтың типі: Білім мен дағдыны қорытындылау, жүйелеу сабағы
Сабақтың түрі: Жарыс сабағы, ойын сабағы.
Сабақ көрнекілігі: интерактивті тақтада слайдтар, үлестірмелі материалдар, есептер жазылған карточка, бағалау парағы.
Сабақ барысы: 1) Ұйымдастыру бөлімі. (І, ІІ, ІІІ топқа бөлу)
2) Жаңа сабақ түсіндіру
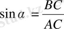
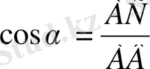
АВС тік бұрышты үшбұрышы берілген.
∠С=90 0 , ∠А = α. ∠B= β
Сүйір бұрыштың косинусы деп
(1)
яғни іргелес жатқан катеттің гипотенузаға қатынасына тең.
α бұрышының синусы деп осы бұрышқа қарсы жатқан катеттің гипотенузаға қатынасын айтады және оны былай белгілейді:
(2)
α бұрышының тангенсі деп осы бұрышқа қарсы жатқан катеттің іргелес жатқан катетке қатынасын айтады және оны былай белгілейді:
(3)
α бұрышының котангенсі деп осы бұрышқа қарсы жатқан катеттің іргелес жатқан катетке қатынасын айтады және оны былай белгілейді:
(4)
Тригонометрияның негізгі тепе-теңдіктері
3) Блиц-тест
1. Үшбұрыштың екі бұрышы 35 0 және 69 0 , оның үшінші бұрышын табыңдар.
А) 104 0 B) 76 0 C) 86 0 D) 106 0
2. Параллелограмның екі қабырғасы берілген 3 және 4см. Р = 14см. Басқа қабырғаларын табыңдар.
A) 10 см, 2 см В) 3см, 4см С) 7см, 7см D) 3см, 7см
3. Тең бүйірлі үшбұрыштың екі қабырғасы 3см және 6см. Оның үшінші қабырғасын табыңдар.
A) 3 см B) 4 см C) 5 см D) 6 см
4. Ромбының диагональдары 2:3 қатынасындай. Диагональдарының қосындысы 25 см. Диагональдарын табу керек.
А) 10, 15 B) 12, 13 C) 14, 11 D) 16, 9
5. ∠А=35 0 , ∠C=118 0 болса, трапецияның қалған бұрыштарының қосындысы неге тең болады?
А) 207 0 B) 107 0 C) 153 0 D) 208 0
4) Дұрыс жауабын тап.

5) Қайталау есептері
- Трапецияның табандары 2:3 қатынасындай, ал орта сызығы 5см, табандарын табыңдар.
- Тіктөртбұрыштың Р=40дм, ал қабырғаларының қатынасы 3:7, қабырғаларын табыңдар.
- Ромбының Р=36, 4м. Қабырғаларын табыңдар.
6) Бой сергіту.
1. Бір -бірімен жарысқан
Төрт аю, бір арыстан
Екі қой мен бір түлкі
Бәрі нешеу кім біледі (8)
2. Оң сандарға қол шатырдай,
Қалпақ болған беделі
Квадраттасаң егер оны,
Жоғалтпассың сен оны (Квадрат түбірі)
3. Ол-оқушы құралы
Қатеңді түзетіп тұрады (Өшіргіш)
4. Күн -күн сайын жыртылдық
Өміріміз бір жылдық (Күнтізбе)
7) Сабақты қорытындылау.
8) Оқушыларды бағалау
9) Үйге тапсырма: №184, №185есептері
- Іс жүргізу
- Автоматтандыру, Техника
- Алғашқы әскери дайындық
- Астрономия
- Ауыл шаруашылығы
- Банк ісі
- Бизнесті бағалау
- Биология
- Бухгалтерлік іс
- Валеология
- Ветеринария
- География
- Геология, Геофизика, Геодезия
- Дін
- Ет, сүт, шарап өнімдері
- Жалпы тарих
- Жер кадастрі, Жылжымайтын мүлік
- Журналистика
- Информатика
- Кеден ісі
- Маркетинг
- Математика, Геометрия
- Медицина
- Мемлекеттік басқару
- Менеджмент
- Мұнай, Газ
- Мұрағат ісі
- Мәдениеттану
- ОБЖ (Основы безопасности жизнедеятельности)
- Педагогика
- Полиграфия
- Психология
- Салық
- Саясаттану
- Сақтандыру
- Сертификаттау, стандарттау
- Социология, Демография
- Спорт
- Статистика
- Тілтану, Филология
- Тарихи тұлғалар
- Тау-кен ісі
- Транспорт
- Туризм
- Физика
- Философия
- Халықаралық қатынастар
- Химия
- Экология, Қоршаған ортаны қорғау
- Экономика
- Экономикалық география
- Электротехника
- Қазақстан тарихы
- Қаржы
- Құрылыс
- Құқық, Криминалистика
- Әдебиет
- Өнер, музыка
- Өнеркәсіп, Өндіріс
Қазақ тілінде жазылған рефераттар, курстық жұмыстар, дипломдық жұмыстар бойынша біздің қор #1 болып табылады.

Ақпарат
Қосымша
Email: info@stud.kz