Натурал және бүтін көрсеткішті дәреже тарауы бойынша қайталау

Қуанышева Сауле Ошақбайқызы
математика пәнінің мұғалімі
Алматы облысы, Ақсу ауданы, Абай орта мектебі мектепке дейінгі шағын орталығымен
Сабақтың тақыбыры: «Натурал және бүтін көрсеткішті дәреже» тарауы бойынша қайталау
Сабақтың мақсаты:
Білімділік : Тақырып бойынша алған білімдерін жүйелеу, түрлендірулер мен есептеулерде натурал және бүтін көрсеткішті дәреже қасиеттерін қолдана білу бейімділіктерін қалыптастыру.
Дамытушылық : Оқушыларды жүйелі түрде жұмыс істеуге, топпен, жеке жұмыс жасауға дағдыландыру
Тәрбиелік : Оқушыларды шапшаңдыққа, ізденімпаздыққа, ұйымшылдыққа тәрбиелеу
Сабақтың түрі: қайталау
Сабақтың көрнекілігі: интерактивті тақта, карточка, бағалау парағы
Сабақтың барысы:
1. Ұйымдастыру: а) сәлемдесу
ә) кезекші есебін тыңдау
б) сабаққа әзірлігін тексеру
ІІ. Үй тапсырмасын тексеру
№347 есеп
ІІІ. Мақсатын қою
Осы үш мақсатты басшылыққа ала отырып, нәтижелікке қол жеткізу.
«Білгенге - маржан»
1. Санның дәрежесі деген не?
2. Дәреженің негізі деп нені айтады?
3. Дәреже көрсеткіші деп нені айтады?
4. Негіздері бірдей дәрежелер қалай көбейтіледі?
5. Негіздері бірдей дәрежелер қалай бөлінеді?
6. Нөлден өзге а санының нөл дәрежесі неге тең?
7. Көбейтіндіні дәрежеге шығару деген не?
8. Бөлшекті дәрежеге қалай шығарады?
9. Дәрежені дәрежеге шығару ережесі қандай?
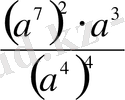
ІІІ. Тақтамен жұмыс
1.
2.
3.
4.
5.
6.
7.
8.
9.
10.
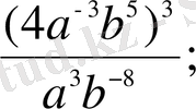
Карточкамен жұмыс
1.
2.
3.
4.
5.
6.
7.
Логикалық сұрақтар.
1. Кубик жасау үшін неше шаршы керек? (6)
2. 3 жарым таяқшаның неше ұшы бар? (8)
3. Аулада қаздар жүрді. Дана 6 аяқ санады. Аулада қанша қаз бар? (3)
4. Әкесі мен баласына 40 жас. 3 жылдан соң олардың жасы қанша болады? (46)
5. 1 ден 1000-ға дейінгі сандар жазу үшін қанша цифр керек? (10)
6. Адамдар бас киімін кімнің алдында шешеді? (шаштараздың)
7. Үш түйеқұс ұшып келе жатты. Аңшы олардың біреуін атып өлтірді. Олардың қаншасы қалды? (түйеқұс ұшпайды)
8. Қараңғы бөлмеде май шам мен керосин лампасы бар. Бірінші қайсысын жағасыз? (шырпыны)
9. Сағат түнгі 10-да жауын жауып тұрса, 24 сағаттан кейін күннің жарқырап тұруы мүмкін бе? (жоқ)
10. 4 жұмыртқа 4 минут піссе, бір жұмыртқа неше минут піседі? (4мин)
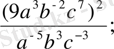
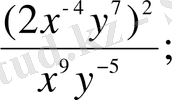
Тест тапсырмалары
1. Өрнекті ықшамда:
А. а 4 В. а С. а 3
2. Есептеңіз:
А. 10а 9 b 5 c 2 B. 32а 9 b 5 c -2 C. 32a 20 b 5 c -15
3. Есептеңіз:
A. b 30 B. b 4 C. b 8
4. Өрнекті ықшамда:
А. с
В.
С. с
4
5. Өрнектің мәнін тап:
А. 9 В.
С.
6. Ықшамда:
А. a 6 b 7 c 4 B. a 8 b 12 c 4 C. a 16 b 81 c 4
7. Есепте:
А. 2 В. 4 С. 8
8. Ықшамда:
А. 18a 2 x 4 B. 81a 2 x 4 C. 9a 2 x 4
9. Өрнекті ықшамда:
A. x B. x
2
C.
10. Ықшамда:
A. 81x -24 y 12 B. 12x -24 y 12 C. x -24 y 12
«Кім қырағы?» ойыны. Есептің ішіндегі түсіп қалған таңбаларды тап.
(:)
(6)
(4)
(*)
(* :)
Бекіту
Өрнектің ықшамдап, мәнін тап.
1.
Ж
2.
Д
3.
Е
4.
Ә
5.
Р
Үйге тапсырма беру
№370
- Іс жүргізу
- Автоматтандыру, Техника
- Алғашқы әскери дайындық
- Астрономия
- Ауыл шаруашылығы
- Банк ісі
- Бизнесті бағалау
- Биология
- Бухгалтерлік іс
- Валеология
- Ветеринария
- География
- Геология, Геофизика, Геодезия
- Дін
- Ет, сүт, шарап өнімдері
- Жалпы тарих
- Жер кадастрі, Жылжымайтын мүлік
- Журналистика
- Информатика
- Кеден ісі
- Маркетинг
- Математика, Геометрия
- Медицина
- Мемлекеттік басқару
- Менеджмент
- Мұнай, Газ
- Мұрағат ісі
- Мәдениеттану
- ОБЖ (Основы безопасности жизнедеятельности)
- Педагогика
- Полиграфия
- Психология
- Салық
- Саясаттану
- Сақтандыру
- Сертификаттау, стандарттау
- Социология, Демография
- Спорт
- Статистика
- Тілтану, Филология
- Тарихи тұлғалар
- Тау-кен ісі
- Транспорт
- Туризм
- Физика
- Философия
- Халықаралық қатынастар
- Химия
- Экология, Қоршаған ортаны қорғау
- Экономика
- Экономикалық география
- Электротехника
- Қазақстан тарихы
- Қаржы
- Құрылыс
- Құқық, Криминалистика
- Әдебиет
- Өнер, музыка
- Өнеркәсіп, Өндіріс
Қазақ тілінде жазылған рефераттар, курстық жұмыстар, дипломдық жұмыстар бойынша біздің қор #1 болып табылады.

Ақпарат
Қосымша
Email: info@stud.kz