Күн жүйесі планеталары қозғалысының заңдары

Күні: 13. 02. 2010 ж
Сыныбы: 9
Сабақ тақырыбы: §45. Күн жүйесі планеталары қозғалысының заңдары
Сабақтың мақсаты:
1. Білімділік. Күн жүйесі планеталары қозғалысының заңдары туралы оқушыларға алғашқы түсініктер беру, жаңа білімді қалыптастыру.
2. Дамытушылық. Оқушылардың табиғат танушылығын, табиғатқа қызығушылығын арттыру, логикалық ойлау қабілеттерін дамыту.
3. Тәрбиелік. Оқушыларды сүйіспеншілікке, мейірімділікке, адамгершілікке, еңбекшілдікке тәрбиелеу.
Сабақтың түрі: Жаңа сабақ
Сабақтың әдісі: Түсіндіру, сұрақ-жауап, формулалар түрлендіріп, есептер шығару.
Көрнекіліктер: Кітап, физика мен астрономиядан тестік тапсырмалар жинағы.
Сабақтың барысы:
- Ұйымдастыру.
- Үй тапсырмасын сұрау.
- Нақты және орташа күн тәуліктерінің бір-бірінен айырмашылығы неде?
- Қазақстан жері арқылы қанша және қандай сағаттық белдеулер өтеді?
- Өліаралық және жұлдыздық ай строномиялық жолмен қалай аныұқталады?
- Жергілікті, белдеулік және бүкіләлемдік уақыт аралығында қандай айырмашылық бар?
- Тропиктік жыл ұзақтығы қалай анықталады? Оның ұзақтығы қандай?
Жаңа сабақ
Иоганн Кеплер (1571-1630) заңдары:
1. Кеплердің бірінші заңы - планета орбитасының пішінін анықтайды: барлық планеталар Күнді эллипс бойымен айналады, оның фокустарының бірінде Күн орналасады.
Элипстің симметрия центрі - О, үлкен АА 1 = 2 a және кіші ВВ 1 = 2 b екі симметрия осі бар, мұндағы а - үлкен жарты ось, b - кіші жарты ось деп аталады. Оның фокусы центрден OF 1 = OF 2 = C = a 2 - b 2 қашықтықта орналасқан.
Эллипстің негізгі қасиеті: эллипстің кез келген нүктесінің фокустардан қашықтықтарының қосындысы үлкен ось ұзындығына тең болатын тұрақты шама:
MF 1 + MF 1 = 2 a .
e = c/a қатынасы эллипстің эксцентрисиенті деп аталады.
Астрономияда Жердің күннен орташа қашықтығы Күн жүйесінде қолданылатын қашықтық өлшеу бірлігі ретінде қабылданған. Ол астрономиялық бірлік (а. б. ) деп аталады: 1 а. б. = 149 600 000 км.
- Кеплердің екінші заңы - аудандар заңы планета қозғалыстарының бірқалыпты емес екендігін анықтайды:планетаның радиус-векторы бірдей уақыт аралығында шамалары бірдей уақыт аралығында шамалары бірдей аудандар сызып шығады.
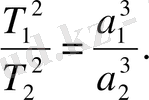
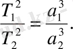
3. Кеплердің үшінші заңы планеталардың орбиталық периодтары мен олардан Күнге дейінгі қашықтық арасындағы байланысты анықтайды: кез келген екі планетаның Күнді айналу периодтары квадраттарының қатынасы олардың орбиталарының үлкен жартыосьтерінің кубтарының қатынасына тең болады.
Сабақты қорыту:
Есеп. Марс орбитасының үлкен жарты осі 1, 5 а. б. оның Күнді айналу периодын есептеп шығарыңдар.
т/к: T 1 - ?
Үйге тапсырма: §45 оқу. 35- жаттығу есептерін шығару.
Бағалау: Оқушыларды бағалап, журналға, күнделікке баға қою.
- Іс жүргізу
- Автоматтандыру, Техника
- Алғашқы әскери дайындық
- Астрономия
- Ауыл шаруашылығы
- Банк ісі
- Бизнесті бағалау
- Биология
- Бухгалтерлік іс
- Валеология
- Ветеринария
- География
- Геология, Геофизика, Геодезия
- Дін
- Ет, сүт, шарап өнімдері
- Жалпы тарих
- Жер кадастрі, Жылжымайтын мүлік
- Журналистика
- Информатика
- Кеден ісі
- Маркетинг
- Математика, Геометрия
- Медицина
- Мемлекеттік басқару
- Менеджмент
- Мұнай, Газ
- Мұрағат ісі
- Мәдениеттану
- ОБЖ (Основы безопасности жизнедеятельности)
- Педагогика
- Полиграфия
- Психология
- Салық
- Саясаттану
- Сақтандыру
- Сертификаттау, стандарттау
- Социология, Демография
- Спорт
- Статистика
- Тілтану, Филология
- Тарихи тұлғалар
- Тау-кен ісі
- Транспорт
- Туризм
- Физика
- Философия
- Халықаралық қатынастар
- Химия
- Экология, Қоршаған ортаны қорғау
- Экономика
- Экономикалық география
- Электротехника
- Қазақстан тарихы
- Қаржы
- Құрылыс
- Құқық, Криминалистика
- Әдебиет
- Өнер, музыка
- Өнеркәсіп, Өндіріс
Қазақ тілінде жазылған рефераттар, курстық жұмыстар, дипломдық жұмыстар бойынша біздің қор #1 болып табылады.

Ақпарат
Қосымша
Email: info@stud.kz