Көпжақтылардың бүйір және толық бетінің ауданы

№172 орта мектеп
11 А сынып
Математика пәнінің мұғалімі Г. Прназарова
Тақырыбы : Көпжақтардың бүйір және толық бетінің ауданы
Мақсаты:
1. Оқушвларға көпжақтардың бүйір және толық бетінің ауданы тақырыбына есептер шығарту
2. Оқушылардың есеп шығару дағдысын қалыптастыру.
3. Оқушылардың ойлау қабілетін дамыту
Типі : Білім мен икем дағыдыны бекіту сабағы
Көрнекілігі: Сызбалар, тест парағы, презентация
Ақпараттық технология: Интерактивті тақта
Барысы:
- Ұйымдастыру кезеңі
- Үй тапсырмасын тексеру
- Тақарыпқа шолу жасау ( бақылау сұрақтары)
- Есептер шығару
- Бекіту
- Үй тапсырмасын тексері
Үй тапсырмасын тексеру
№12 есеп (есептер жинағы )
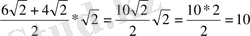
Табаң қабырғалары 10 см және 2 см, биіктігі 3 см - ге тең дұрыс қиық пирамиданың бүйір беті мен толық бетінің ауданын табыңдар.
![]()
Берілгені: SABCD- дұрыс төртбұрышты пирамида
АВ=10 см А 1 B 1 = 2см h =3см
Табу керек: S бб , S тб
S=S 1 +S 2 + S бб ; S бб =
![]()
S бб =
см 2
S тб =100+4+120=224 см 2
Жауабы: 120 см 2 және 224 см 2
Бақылау сұрақтары :
- Пирамида деген не?
- Пирамиданың элементтерін ата?
- Апофема деген не?
- Неше дұрыс көпжақтылар және оларды ата?
- Пирамиданың бүйір бетінің ауданы неге тең?
- Қиық пирамида деген не?
- Қиық пирамиданың толық бетінің ауданы неге тең?
- Қиық пирамиданың осьтік қимасы қандай фигураны береді?
- Пирамиданың осьтік қимасы қандай фигураны береді?
- Дүрыс пирамида деген не? (Презентация)
Есептер шығарту.
Есептер жинағынан
№1 есеп
Дұрыс үшбұрышты пирамиданың бүйір бетінің ауданы 96
см 2 - қа тең, ал толық бетінің ауданы 112
см 2 . Пирамиданың табанының қабырғалары мен биіктігін табыңдар.
![]()
Берілгені : Дұрыс пирамида
S бб =96
см 2
S тб =112
см 2
Табу керек: АВ, SO
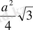
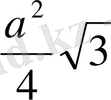
S бб =Pl/2 S тб= S бб + S тa
S
тa
= S
тб
- S
бб
= 112
см
2
-96
см
2
=16
см
2
S
та
=
; 16
=
; a=AB=8.
ОK=
=
. SK=l=
=
=8
SOK →SO =
13, 7
Жауабы: 8см, 13, 7см
Шағын тест
1. Төртбұрышты дұрыс қиық пирамиданың табандарының қабырғалары 4 см және 6 см тең. Егер бүйір қыры үлкен табанымен 45 0 бұрыш жасайтын болса, диагональдық қиманың ауданын табыңыз.
а) 12 см 2
в) 10 см 2
с) 20 см 2
д) 95 см 2
е) 13 см 2
Берілгені: Қиық пирамида
A 1 B 1 =4
AB=6
<A=45 0
Табу керек: S қ
S
қ
=
AC=
=4
A
1
C
1
=
=6
AK=
B
1
K=
*tg45
0
=
*1=
S
қ
=
Жауабы: 10 см 2
Бекіту
Призма мен пирамиданың айырмашылығы мен ортақ қасиеттерін ата?
Үйге тапсырма беру:
§3. 3 оқу
№13 есеп
Нұсқау Қиық пирамиданың сызбасын салып, Қиық пирамиданың толық бетінің ауданың есептеу формуласын (S=S
1
+S
2
+ S
бб
; S
бб
=
) қолданаылып шығарылады.
- Іс жүргізу
- Автоматтандыру, Техника
- Алғашқы әскери дайындық
- Астрономия
- Ауыл шаруашылығы
- Банк ісі
- Бизнесті бағалау
- Биология
- Бухгалтерлік іс
- Валеология
- Ветеринария
- География
- Геология, Геофизика, Геодезия
- Дін
- Ет, сүт, шарап өнімдері
- Жалпы тарих
- Жер кадастрі, Жылжымайтын мүлік
- Журналистика
- Информатика
- Кеден ісі
- Маркетинг
- Математика, Геометрия
- Медицина
- Мемлекеттік басқару
- Менеджмент
- Мұнай, Газ
- Мұрағат ісі
- Мәдениеттану
- ОБЖ (Основы безопасности жизнедеятельности)
- Педагогика
- Полиграфия
- Психология
- Салық
- Саясаттану
- Сақтандыру
- Сертификаттау, стандарттау
- Социология, Демография
- Спорт
- Статистика
- Тілтану, Филология
- Тарихи тұлғалар
- Тау-кен ісі
- Транспорт
- Туризм
- Физика
- Философия
- Халықаралық қатынастар
- Химия
- Экология, Қоршаған ортаны қорғау
- Экономика
- Экономикалық география
- Электротехника
- Қазақстан тарихы
- Қаржы
- Құрылыс
- Құқық, Криминалистика
- Әдебиет
- Өнер, музыка
- Өнеркәсіп, Өндіріс
Қазақ тілінде жазылған рефераттар, курстық жұмыстар, дипломдық жұмыстар бойынша біздің қор #1 болып табылады.

Ақпарат
Қосымша
Email: info@stud.kz