Рационал бөлшектерді көбейту және бөлу жайлы ақпарат

БҚО, Тасқала ауданы
Ы. Алтынсарин атындағы ЖББОМ
Математика пәнінің мұғалімі Зиргиров Д. У.
Оқушылардың тақырып бойынша алған білімдерін тереңдетіп, жинақтап жүйелеу. Рационал, яғни алгебралық бөлшектерді көбейту және бөлу алгоритмін қолдана білуге, қасиеттерді білуге үйрету
Деңгейлік тапсырмаларды түрлендіре жүргізу арқылы оқушылардың пәнге деген қызығушылығын арттыру;
Оқушылардың тақырып бойынша алған білімдерін тереңдетеді, жинақтап жүйелейді. Рационал, яғни алгебралық бөлшектерді көбейту және бөлу алгоритмін қолдана біледі.
Деңгейлік тапсырмаларды түрлендіре жүргізу арқылы оқушылардың пәнге деген қызығушылығын артады;
10. 03. 2014 ж.
7 «А» сынып
Алгебра
Сабақ бойынша мұғалімнің жазбалары:
І. Ұйымдастыру кезеңі (3 мин)
А) Амандасу, с ынып оқушыларын түгендеу.
Б) Тренинг « Ш еңбер ».
В) Сынып оқушыларын топтарға бөлу.
1- топ, 2-ші топ, , 3-топ, 4-ші топ
Оқушылар біздер бүгін «Білім еліне» саяхат жасаймыз. Біздер «Білім еліне» матемаикалық ұшақпен ұшып барамыз. Ол үшін билет сатып аламыз.
ІІ. Өткенді қайталау : Сәйкесітік тест
Бағалау. Топтар бірбірін тексереді. (экранда дұрыс жауабы бойынша) .
7-уі дұрыс болса - первый класс
5-6-уы дұрыс болса- бизнес класс
4-уі дұрыс болса- эконом класс
Оқушылар «Блім еліне» жету үшін біздер 3-бекеттен өтеміз
1-бекет
Жаңа тақырып
2-бекет
Деңгейлік
тапсырмалар
3-бекет
Есептер шығару
ІІІ. Жаңа сабақ: 1-бекет
1. Сабақтың тақырыбы: Рационал бөлшектерді көбейту және бөлу (5 мин) .
Оқушылар өздері жаңа тақырыпты меңгереді және тақырып бойынша келесі тапсырманы орындайды:
«Ой қозғау»
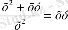
- 2. 3.
4.
5.
6.
![]()
7.
8.
9.
![]()
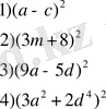
4. 2-бекет Деңгейлік тапсырмалар
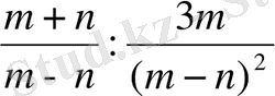
5 . 3-бекет
Есептер шығару
1)
2)
3)
4)
5)
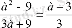
6. Бекіту. (5 мин) Өзіңдік жұмыс
1-нұсқа 2-нұсқа
7. Қорытындылау : Рационал бөлшектерді көбейту және бөлу тақырыбын қалай түсіндік.
Рационал бөлшектерді көбейту және бөлу формулаларын және ережелерін қолдана алдық па? (3мин)
Көшбасшылар - кімге неше қойдыңыз? Не үшін?(2мин)
Бағалау парағы :
7. Үйге тапсырма: § 3, №548
8. Рефлексия кезеңі:
Оқушыларға 3 түрлі стикерлер үлестіріледі.
Құралдар: флипчарт, , стиккер, слайд материалдары
- Іс жүргізу
- Автоматтандыру, Техника
- Алғашқы әскери дайындық
- Астрономия
- Ауыл шаруашылығы
- Банк ісі
- Бизнесті бағалау
- Биология
- Бухгалтерлік іс
- Валеология
- Ветеринария
- География
- Геология, Геофизика, Геодезия
- Дін
- Ет, сүт, шарап өнімдері
- Жалпы тарих
- Жер кадастрі, Жылжымайтын мүлік
- Журналистика
- Информатика
- Кеден ісі
- Маркетинг
- Математика, Геометрия
- Медицина
- Мемлекеттік басқару
- Менеджмент
- Мұнай, Газ
- Мұрағат ісі
- Мәдениеттану
- ОБЖ (Основы безопасности жизнедеятельности)
- Педагогика
- Полиграфия
- Психология
- Салық
- Саясаттану
- Сақтандыру
- Сертификаттау, стандарттау
- Социология, Демография
- Спорт
- Статистика
- Тілтану, Филология
- Тарихи тұлғалар
- Тау-кен ісі
- Транспорт
- Туризм
- Физика
- Философия
- Халықаралық қатынастар
- Химия
- Экология, Қоршаған ортаны қорғау
- Экономика
- Экономикалық география
- Электротехника
- Қазақстан тарихы
- Қаржы
- Құрылыс
- Құқық, Криминалистика
- Әдебиет
- Өнер, музыка
- Өнеркәсіп, Өндіріс
Қазақ тілінде жазылған рефераттар, курстық жұмыстар, дипломдық жұмыстар бойынша біздің қор #1 болып табылады.

Ақпарат
Қосымша
Email: info@stud.kz