Тригонометриялық функциялардың туындылары. 10-сынып. алгебра

Сабақтың тақырыбы: Тригонометриялық функциялардың туындылары.
Сабақтың мақсаты:
Білімділік: Жеңілден күрделіге көше отырып, білім біліктілігін қалыптастыру. Оқушыларды квадрат үшмүше және оның түбірлері ұғымдарымен таныстыру, оқушылардың квадрат үшмүшені көбейткіштерге жіктей алу дағдыларын қалыптастыру.
Дамытушылық: Ойлау, есте сақтау қабілетін дамыту, ізденісіне мүмкіндік жасау.
Тәрбиелік: Пәнге деген қызығушылығын арттырып, өз бетінше жұмыс істеуге тәрбиелеу.
Сабақтың типі: Жаңа білімді меңгеру, есеп шығару.
Сабақтың түрі: Деңгейлік тапсырмалар.
Көрнекілігі: Формулалар, таблицалар.
Пән аралық байланыс: Гуманитарлық пәндер.
Сабақтың барысы: І. Ұйымдастыру кезең.
ІІ. Үй тапсырмасын сұрау.
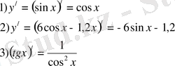
№220.
А)
Ә)
В)
ІІІ. Өткен сабақты пысықтау.
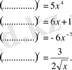
А.
В.
ІІІ-деңгей.
С.
IV. Жаңа сабақ
Функция туындысының жалпы анықтамасы бойынша y=sinx туындысының формуласын қорытып шығарайық.
Аргумент х-ке ∆х өсімше берейік. Сонда функция аргументтің өсімшесіне сәйкес өсімше алады.
Енді функция өсімшесін аргумент өсімшесіне бөлеміз.
Соңғы теңдіктен аргумент өсімшесі
нөлге ұмтылғандағы шектің мәнін табайық. Ол үшін
теңдігін қолданамыз.
Демек,
Енді мысалдар қарастырайық.
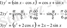
Деңгейлік тапсырмалар.
А)
В)
С)
Есептің дұрыстығы тексеріледі.
Сергіту сәті: Білім туралы заң 27. 07. 2007ж., 9-бап: Меншік нышандарына қарамастан білім алушылардың мемлекеттік тіл ретінде қазақ тілін білуін, сондай-ақ білім берудің тиісті деңгейінің мемлекеттік жалпыға міндетті стандартына сәйкес орыс тілін және шет тілдерінің біреуін оқып-үйренуін қамтамасыз етуі тиіс.
ҚР-ның Президенті Н. Ә. Назарбаевтің «Қазақстан-2050» стратегиясы-қалыптасқан мемлекеттің жаңа саяси бағыты атты Жолдауында үштілділік туралы айтылған.
Үйге тапсырма №228, №232.
Сабақты қорытындылау. Туынды тарихынан мәлімет.
Оқушыларды бағалау.
Жас достарым
Мұны жақсы ұғайық
Математика құрметтуге лайық,
Дүниедегі құбылыстың мәніне
Табиғаттың, қозғалыстың бәрінде,
Мүмкін емес, есептерсіз түсіну
Есебіңіз дүние кілті әлі де.
Білім деген биік шың,
Бақытқа сені жеткізер.
Білім деген ақылшың,
Қиындықтан өткізер, -деп сабағымызды аяқтаймыз.
- Іс жүргізу
- Автоматтандыру, Техника
- Алғашқы әскери дайындық
- Астрономия
- Ауыл шаруашылығы
- Банк ісі
- Бизнесті бағалау
- Биология
- Бухгалтерлік іс
- Валеология
- Ветеринария
- География
- Геология, Геофизика, Геодезия
- Дін
- Ет, сүт, шарап өнімдері
- Жалпы тарих
- Жер кадастрі, Жылжымайтын мүлік
- Журналистика
- Информатика
- Кеден ісі
- Маркетинг
- Математика, Геометрия
- Медицина
- Мемлекеттік басқару
- Менеджмент
- Мұнай, Газ
- Мұрағат ісі
- Мәдениеттану
- ОБЖ (Основы безопасности жизнедеятельности)
- Педагогика
- Полиграфия
- Психология
- Салық
- Саясаттану
- Сақтандыру
- Сертификаттау, стандарттау
- Социология, Демография
- Спорт
- Статистика
- Тілтану, Филология
- Тарихи тұлғалар
- Тау-кен ісі
- Транспорт
- Туризм
- Физика
- Философия
- Халықаралық қатынастар
- Химия
- Экология, Қоршаған ортаны қорғау
- Экономика
- Экономикалық география
- Электротехника
- Қазақстан тарихы
- Қаржы
- Құрылыс
- Құқық, Криминалистика
- Әдебиет
- Өнер, музыка
- Өнеркәсіп, Өндіріс
Қазақ тілінде жазылған рефераттар, курстық жұмыстар, дипломдық жұмыстар бойынша біздің қор #1 болып табылады.

Ақпарат
Қосымша
Email: info@stud.kz