Рационал бөлшектерді көбейту және бөлу

Сабақтың тақырыбы: Рационал бөлшектерді көбейту және бөлу
Сабақтың мақсаты :
1) Рационал бөлшектерді көбейту және бөлу тақырыбын игере отырып өзара кері өрнектің ұғымы мен осы тақырып бойынша есептер шығару дағдысын қалыптастыру.
2) Алған білімдеріне жауапкершілікпен қарауға дағдыландыру.
3) Ұйымшыл оқушы етіп тәрбиелеу.
Сабақ түрі: Жаңа сабақ
Сабақтың әдісі: Жаңа сабақ
Сабақтың көрнекілігі: интерактивті тақта, презентация, нақыл сөздер.
Сабақтың барысы.
1. Ұйымдастыру кезеңі. (амандасу, оқушыларды түгелдеу)
2. Үй жұмысын сұрау. «Бәйге» (5 минут)
3. Жаңа сабақ . (5-минут)
4. Оқулықпен жұмыс. (15-минут)
5. Сергіту сәті. Викториналық сұрақтар. (10 минут)
6. ҰБТ есептері ( тест) (3 минут)
7. Деңгейлік тапсырма «Өзіңді тексер» (5- минут)
8. Сабақты бекіту(математикалық диктант) (2-минут)
9. Үйге тапсырма
2. Үй жұмысын сұрау. «Бәйге»
Бәйге ойыны - ат жарысы. Оған жүйрік бапталған атпен шабандоздар қатысқан. Ал біздің мақсатымыз: өткен материалға байланысты қойылған сұрақтарға дұрыс жауап беру.
Жоғарыдағы сол жақтағы 15 . Рационал бөлшектер дегеніміз не?
Жоғарыдағы 10 . Рационал бөлшектерді қоу үшін қандай алгоритмді қолда-намыз?
Жоғарыдағы оң жақтағы
15
.
=?
Ортадағы сол жақ 5 . (m-n) 2 =?
Ортадағы 25 . (2+x) 3 =?
Ортадағы оң жақтағы
5.
4x
2
-25=0
Төменгі сол жақтағы 10. 5x 3 -125x=0
Төменгі ортадағы
15.
a=1
Төменгі оң жақтағы
10.
+
= ?
3. Жаңа сабақ.
5- сыныпта өткен математика оқулығынан сендерге жай бөлшектерді көбейту және бөлу таныс.
Мысалы: а)
б)
Рационал бөлшектерді көбейту үшін мына алгоритмді қолданамыз:
1) бөлшектердің алымдарын жеке және бөлімдерін жеке көбейтеміз;
2) алымдарының көбейтіндісін алымына, бөлімдерінің көбейтіндісін бөліміне жазамыз;
3) мүнкін болған жағдайда қысқарту орындаймыз.
Екі санның көбейтіндісі 1 - ге тең болса, онда олар кері сандар деп аталады. Айнымалысы бар өзара кері өрнектер туралы, тура осылай айтуға болады.
Рационал бөлшектерді бөлу үшін мына алгоритмді қолданамыз:
1) Бөлшектерді көбейтуге айналдырамыз, ол үшін бірінші бөлшнкті өзін жазып, екінші бөлшектің кері санын табамыз.
2) бөлшектердің алымдарын жеке және бөлімдерін жеке көбейтеміз;
3) алымдарының көбейтіндісін алымына, бөлімдерінің көбейтіндісін бөліміне жазамыз;
4) мүнкін болған жағдайда қысқарту орындаймыз.
4. Оқулықпен жұмыс
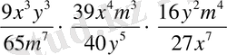
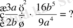
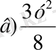
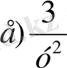
№271. Өрнекті ықшамдаңдар:
1)
2)
3)
4)
№272. Өрнекті ықшамдаңдар:
5. Сергіту сәті.
а) Викториналық сұрақтар.
1) Ең кіші үш таңбалы сан (100)
2) Бұрышты өлшеу құралы (транспортир)
3) Бір метрде неше сантиметр (жүз)
4) Бір ғасырда неше жыл (жүз)
5) Ең кіші жай сан (2)
6) Тік бұрыштың шамасы (90 0 )
7) Тік бұрыштан кіші бұрыш (сүйір)
8) 13 жай сан ба? (ия)
9) Жазыңқы бұрыштың шамасы (180 0 )
10) Бір килограммда неше грамм бар (1000)
б) Бірден бастап тоғызға дейінгі сандар берілген. Әр сызық бойындағы үш санның қосындысы 15-ке тең болатындай етіп берілген сандарды орналастыр. Ортаңғы шеңберге қандай сан қою керек?
6. ҰБТ есептері ( тест)
7. Деңгейлік тапсырма. «Өзіңді тексер»
І деңгей. 1)
2)
ІІ деңгей. 1)
2)
ІІІ деңгей. 1)
2)
9. Математикалық диктант
1. Республика күніне тәуелсіздік күнін қос (25+16=41)
2. Ең кіші жай саннан Али бабаның серіктерінің санын алып таста (2-40=-38)
3. Республикамыздың астанасының әріптерінің санынан қолыңдағы оқулықтың санын алып таста (6-7=-1)
9. Үйге тапсырма: 270; 273.
- Іс жүргізу
- Автоматтандыру, Техника
- Алғашқы әскери дайындық
- Астрономия
- Ауыл шаруашылығы
- Банк ісі
- Бизнесті бағалау
- Биология
- Бухгалтерлік іс
- Валеология
- Ветеринария
- География
- Геология, Геофизика, Геодезия
- Дін
- Ет, сүт, шарап өнімдері
- Жалпы тарих
- Жер кадастрі, Жылжымайтын мүлік
- Журналистика
- Информатика
- Кеден ісі
- Маркетинг
- Математика, Геометрия
- Медицина
- Мемлекеттік басқару
- Менеджмент
- Мұнай, Газ
- Мұрағат ісі
- Мәдениеттану
- ОБЖ (Основы безопасности жизнедеятельности)
- Педагогика
- Полиграфия
- Психология
- Салық
- Саясаттану
- Сақтандыру
- Сертификаттау, стандарттау
- Социология, Демография
- Спорт
- Статистика
- Тілтану, Филология
- Тарихи тұлғалар
- Тау-кен ісі
- Транспорт
- Туризм
- Физика
- Философия
- Халықаралық қатынастар
- Химия
- Экология, Қоршаған ортаны қорғау
- Экономика
- Экономикалық география
- Электротехника
- Қазақстан тарихы
- Қаржы
- Құрылыс
- Құқық, Криминалистика
- Әдебиет
- Өнер, музыка
- Өнеркәсіп, Өндіріс
Қазақ тілінде жазылған рефераттар, курстық жұмыстар, дипломдық жұмыстар бойынша біздің қор #1 болып табылады.

Ақпарат
Қосымша
Email: info@stud.kz