Квадрат үшмүше. Квадрат үшмүшені көбейткіштерге жіктеу

Барлық оқушылар: Оқушылардың барлығы Тікбұрышты үшбұрыштарды шешудің түрлері туралы мәлімет алады «квадрат үшмүше» ұғымымен танысып, квадрат үшмүшенің түбірлері туралы мәлімет алады үшбұрышТікбұрышты үшбұрыштарды шешудің түрлері туралы мәлімет алады Тікбұрышты үшбұрыштарды шешудің түрлері туралы мәлімет алады Тікбұрышты үшбұрыштарды шешудің түрлері туралы мәлімет алады Тікбұрышты үшбұрыштарды шешудің түрлері туралы мәлімет алады Тікбұрышты үшбұрыштарды шешудің түрлері туралы мәлімет алады .
Оқушылардың басым көпшілігі: оқушылардың 60 пайызы 20 минуттың ішінде квадрат үшмүшені көбейткіштерге жіктеу формуласын біледі және есептер шығаруда қолданады.
Жекелеген оқушылар : 40 пайыз оқушы 20 минут уақыт ішінде квадрат үшмүшені көбейткіштерге жіктеу формуласын меңгеріп, бөлшекті қысқартуда қолдануды үйренеді.
Барлық оқушылар «квадрат үшмүше» ұғымымен танысып, квадрат үшмүшенің түбірлері туралы мәлімет алады үшбұрышТікбұрышты үшбұрыштарды шешудің түрлері туралы мәлімет алады Тікбұрышты үшбұрыштарды шешудің түрлері туралы мәлімет алады Тікбұрышты үшбұрыштарды шешудің түрлері туралы мәлімет алады Тікбұрышты үшбұрыштарды шешудің түрлері туралы мәлімет алады Тікбұрышты үшбұрыштарды шешудің түрлері туралы мәлімет алады .
Негізгі сөздер мен тіркестер: квадрат үшмүше, квадрат үшмүшені көбейткіштерге жіктеу формуласы.
Берілген тірек сөздерді квадрат үшмүше, квадрат үшмүшені көбейткіштерге жіктеу формуласын есептер шығаруда қолданады.
1. Психологиялық ахуал қалыптастыру үшін мұғалім оқушылармен амандасады, сергіту сәтін жасайды.
2. Топтастыру («формулалар» бойынша 3 топқа бөледі) .
Оқушылар шаттық шеңберіне жиналып, «Қызықты сандар» сергіту сәтін жасайды, 3топқа бөлінеді.
1-топ. Квадрат теңдеу
2-топ. Виет теоремасы
3-топ. Биквадрат теңдеу
«Қара жәшік» әдісі - өтілетін тақырыпты жасыру
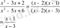
1. Қандай теңдеу квадрат теңдеу деп аталады? 2. Бұл теңдеудің қанша мүшесі бар? 3. Теңдеу квадрат теңдеу деп аталу себебін түсіндір? 4. бөлшегін
қысқартыңдар? Қандай кедергіге тап болдық? 5. Бөлшекті қалай қысқарттық?
1. Оқушылар сұрақтарға жауап береді.
2. Сұраққа жауап беру арқылы бүгінгі өтілетін тақырыпты өздері табады. 3. Сабаққа мақсат қояды.
«Идеялар кәрзеңкесі» әдісі
Жаңа сабақ.
Квадрат үшмүше. Квадрат үшмүшені көбейткіштерге жіктеу.
«Инсерт» әдісі бойынша тақырыппен танысып шығады. (3 мин) . Тақырып түсіндіреді.
1. «Батерфлай» әдісі (3 мин) Формуланы жаттап, есте сақтауға тиімді жолмен жазу.
2. «Есте сақтау есебі» (5 мин) Тақтада мысал есеп көрсетіліп, өшіріп тасталады.
Кейінгі тапсырмалар
1. «Тірек белгілер» (5 мин)
2. «Білім биржасы» (5 мин)
3. «Тест жұмысы» (5 мин)
Жаңа тақырыпты мұқият оқып отырып, арнайы белгілерді қояды: + білемін - түсінбедім
Постер қорғау
Дәптерге есепті жазады.
Әрбір топқа 4 есеп беріледі, 4 есепке сәйкес 1 формуланы табады.
Жеке деңгейлік тапсыр-малар орындайды, дәп-терлерін алмастырып тексереді.
Сұраққа жауап береді.
Өзін-өзі бағалау
Екі жұлдыз, бір ұсыныс
Оқулық,
стикер, смайлик, түрлі-түсті бояу, үлестірме қағаз
Үйге тапсырма беріледі: §12 оқу, №230, 232
Рефлексия: «Сабақта мен үшін не қиын болды? Неге қиын болды? Қиындық-тарды ненің көмегімен еңсердім/еңсере аламын?»
Стикер,
бағалау
парағы
- Іс жүргізу
- Автоматтандыру, Техника
- Алғашқы әскери дайындық
- Астрономия
- Ауыл шаруашылығы
- Банк ісі
- Бизнесті бағалау
- Биология
- Бухгалтерлік іс
- Валеология
- Ветеринария
- География
- Геология, Геофизика, Геодезия
- Дін
- Ет, сүт, шарап өнімдері
- Жалпы тарих
- Жер кадастрі, Жылжымайтын мүлік
- Журналистика
- Информатика
- Кеден ісі
- Маркетинг
- Математика, Геометрия
- Медицина
- Мемлекеттік басқару
- Менеджмент
- Мұнай, Газ
- Мұрағат ісі
- Мәдениеттану
- ОБЖ (Основы безопасности жизнедеятельности)
- Педагогика
- Полиграфия
- Психология
- Салық
- Саясаттану
- Сақтандыру
- Сертификаттау, стандарттау
- Социология, Демография
- Спорт
- Статистика
- Тілтану, Филология
- Тарихи тұлғалар
- Тау-кен ісі
- Транспорт
- Туризм
- Физика
- Философия
- Халықаралық қатынастар
- Химия
- Экология, Қоршаған ортаны қорғау
- Экономика
- Экономикалық география
- Электротехника
- Қазақстан тарихы
- Қаржы
- Құрылыс
- Құқық, Криминалистика
- Әдебиет
- Өнер, музыка
- Өнеркәсіп, Өндіріс
Қазақ тілінде жазылған рефераттар, курстық жұмыстар, дипломдық жұмыстар бойынша біздің қор #1 болып табылады.

Ақпарат
Қосымша
Email: info@stud.kz